Официальное опубликование правовых актов
ОФИЦИАЛЬНОЕ ОПУБЛИКОВАНИЕ
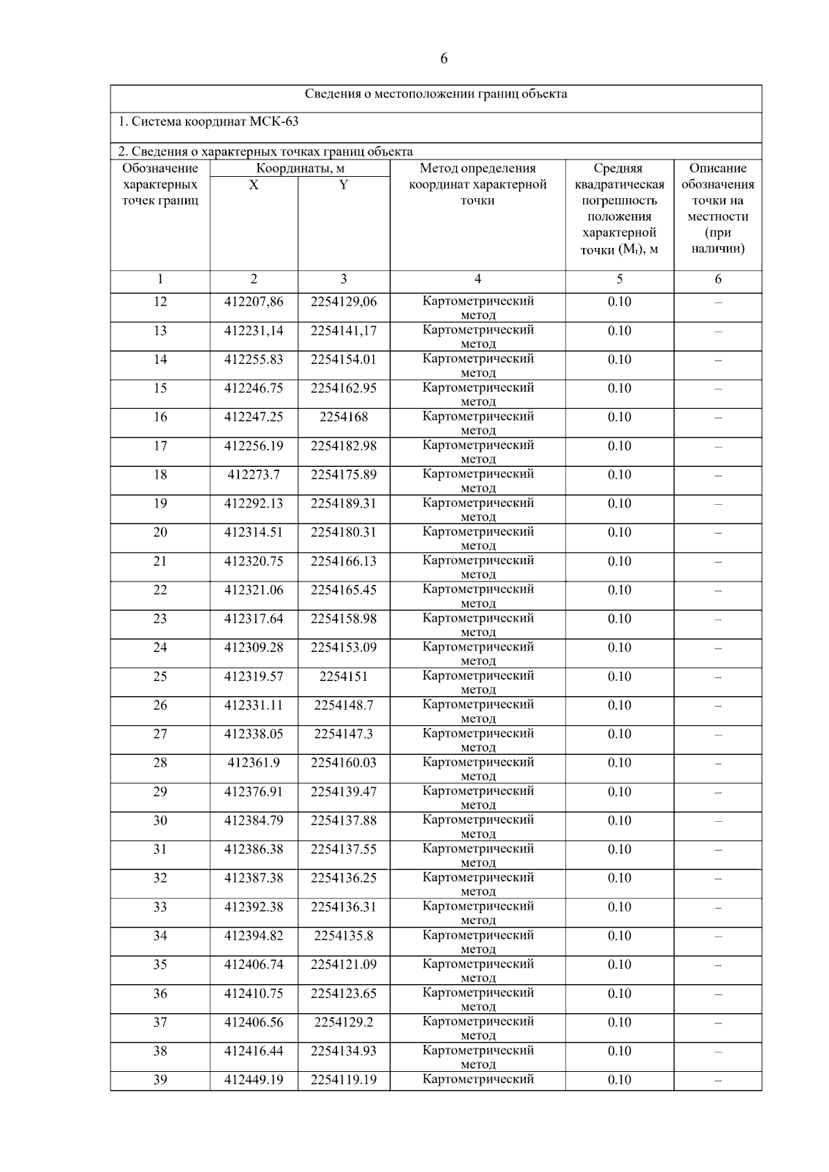
Постановление Правительства Самарской области от 18.03.2026 № 170
"О внесении изменений в Генеральный план сельского поселения Кинель-Черкассы муниципального района Кинель-Черкасский Самарской области"
Номер опубликования: 6300202603200004
Дата опубликования: 20.03.2026
Страница №64 из 267:
Увеличить