Официальное опубликование правовых актов
ОФИЦИАЛЬНОЕ ОПУБЛИКОВАНИЕ
Распоряжение Правительства Самарской области от 23.01.2026 № 13-р
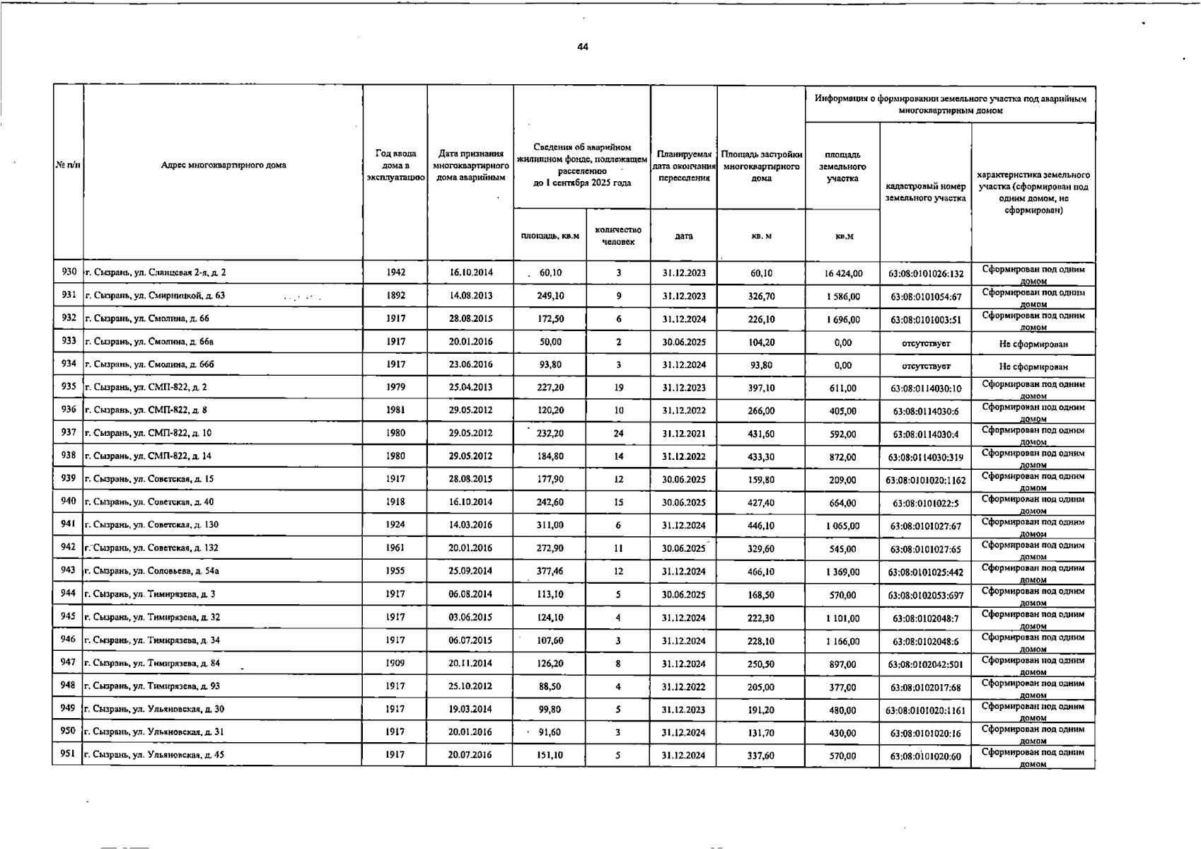
"О внесении изменений в распоряжение Правительства Самарской области от 24.02.2022 № 51-р "Об утверждении адресной программы Самарской области "Переселение граждан из аварийного жилищного фонда, признанного таковым до 1 января 2017 года"
Номер опубликования: 6300202601260003
Дата опубликования: 26.01.2026
Страница №47 из 72:
Увеличить