Официальное опубликование правовых актов
ОФИЦИАЛЬНОЕ ОПУБЛИКОВАНИЕ
Распоряжение Правительства Самарской области от 23.01.2026 № 14-р
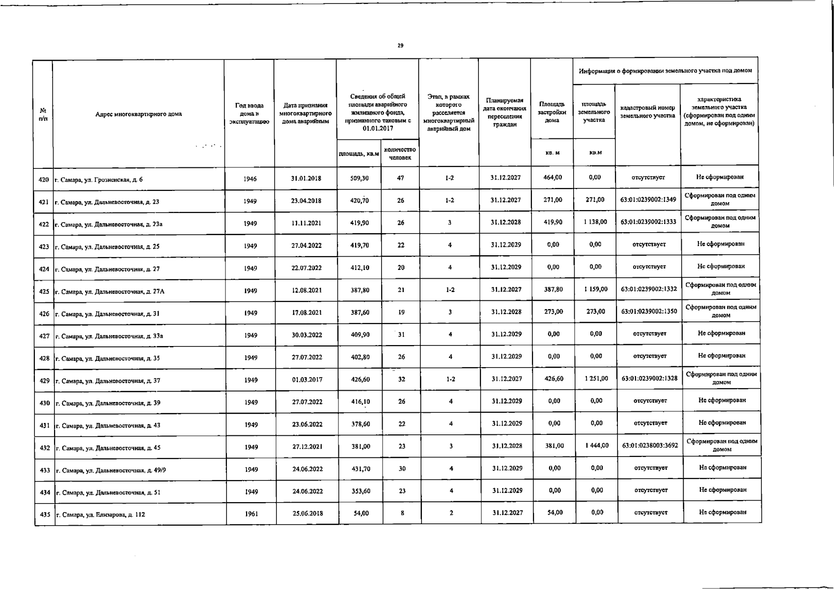
"О внесении изменений в распоряжение Правительства Самарской области от 14.02.2025 № 58-р "Об утверждении адресной программы Самарской области "Переселение граждан из аварийного жилищного фонда, признанного таковым после 1 января 2017 года"
Номер опубликования: 6300202601260002
Дата опубликования: 26.01.2026
Страница №35 из 107:
Увеличить