Официальное опубликование правовых актов
ОФИЦИАЛЬНОЕ ОПУБЛИКОВАНИЕ
Постановление Правительства Самарской области от 22.01.2026 № 21
"О внесении изменений в Генеральный план сельского поселения Красносельское муниципального района Сергиевский Самарской области"
Номер опубликования: 6300202601260001
Дата опубликования: 26.01.2026
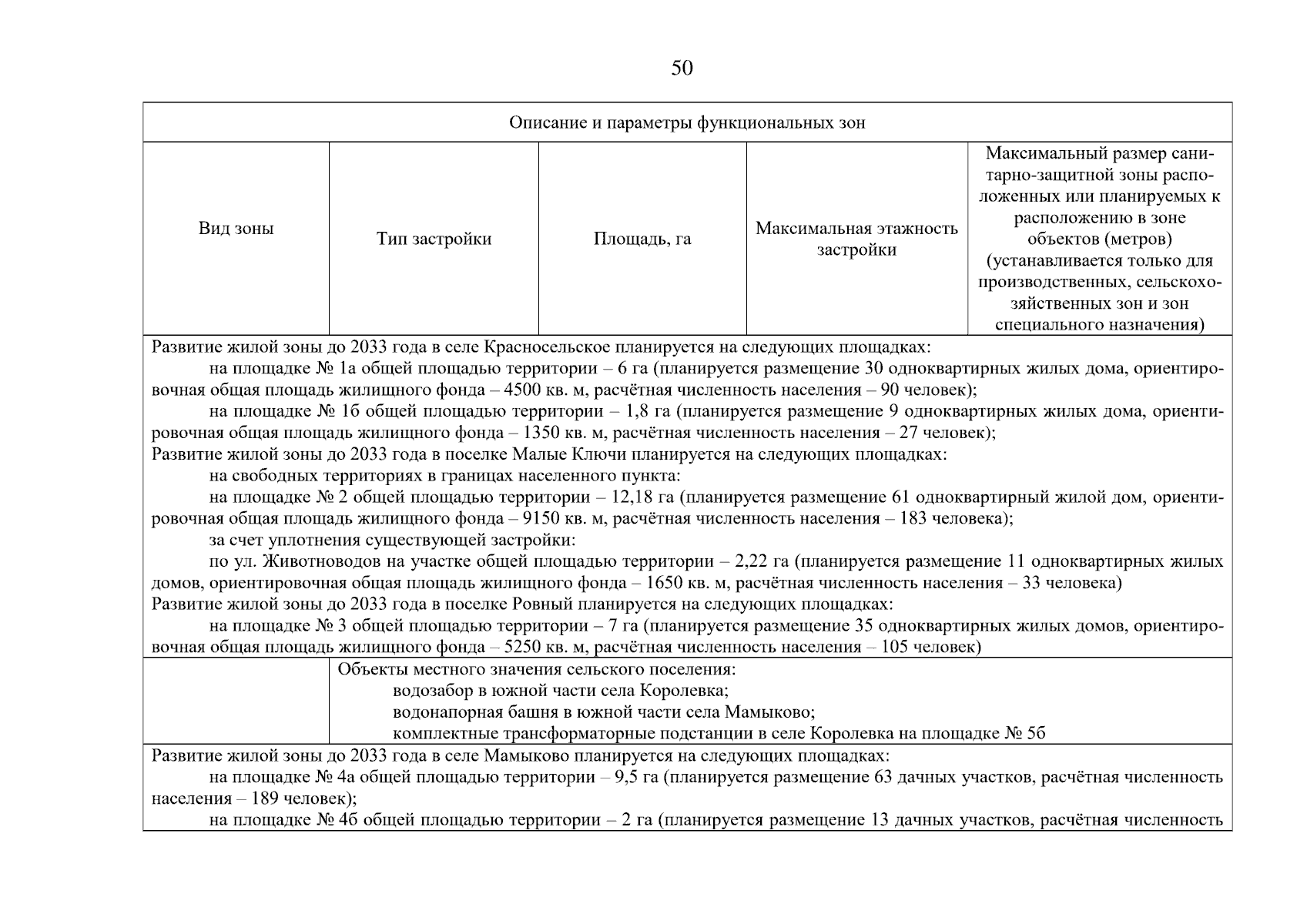
Страница №52 из 125:
Увеличить