Официальное опубликование правовых актов
ОФИЦИАЛЬНОЕ ОПУБЛИКОВАНИЕ
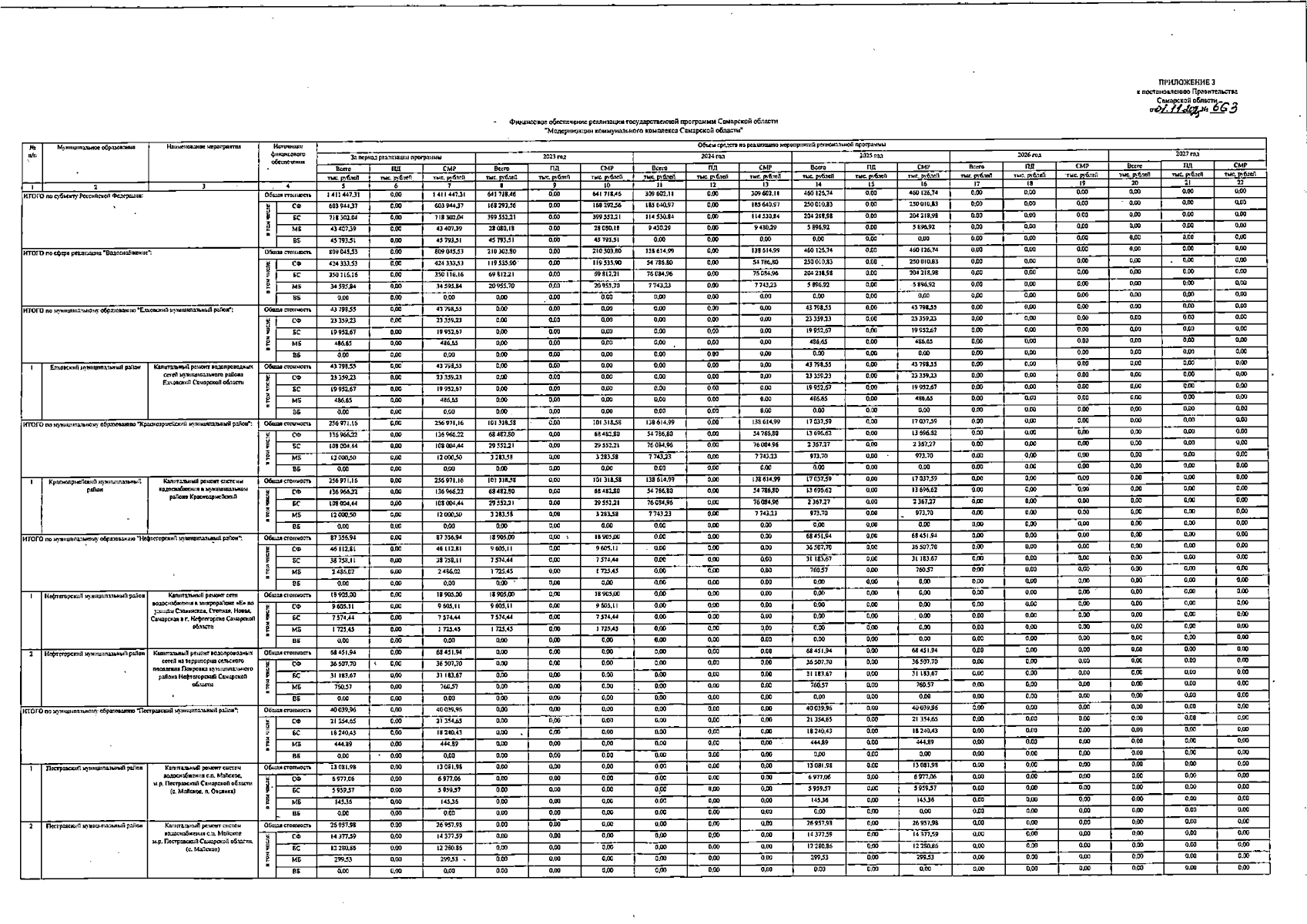
Постановление Правительства Самарской области от 01.11.2025 № 663
"О внесении изменений в постановление Правительства Самарской области от 13.02.2023 № 102 "Об утверждении государственной программы Самарской области "Модернизация коммунального комплекса Самарской области"
Номер опубликования: 6300202511050009
Дата опубликования: 05.11.2025
Страница №14 из 21:
Увеличить