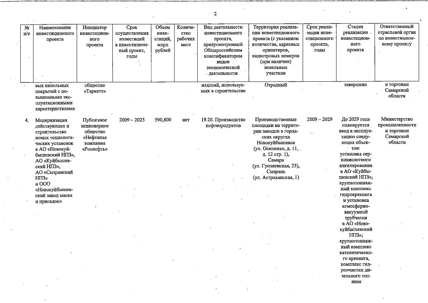
Распоряжение Правительства Самарской области от 02.09.2025 № 392-р
"О внесении изменения в распоряжение Правительства Самарской области от 09.04.2014 № 221-р "Об утверждении Перечня стратегических инвестиционных проектов Самарской области"
"О внесении изменения в распоряжение Правительства Самарской области от 09.04.2014 № 221-р "Об утверждении Перечня стратегических инвестиционных проектов Самарской области"
Номер опубликования: 6300202509040001
Дата опубликования:
04.09.2025
