Официальное опубликование правовых актов
ОФИЦИАЛЬНОЕ ОПУБЛИКОВАНИЕ
Распоряжение Правительства Самарской области от 11.07.2025 № 308-р
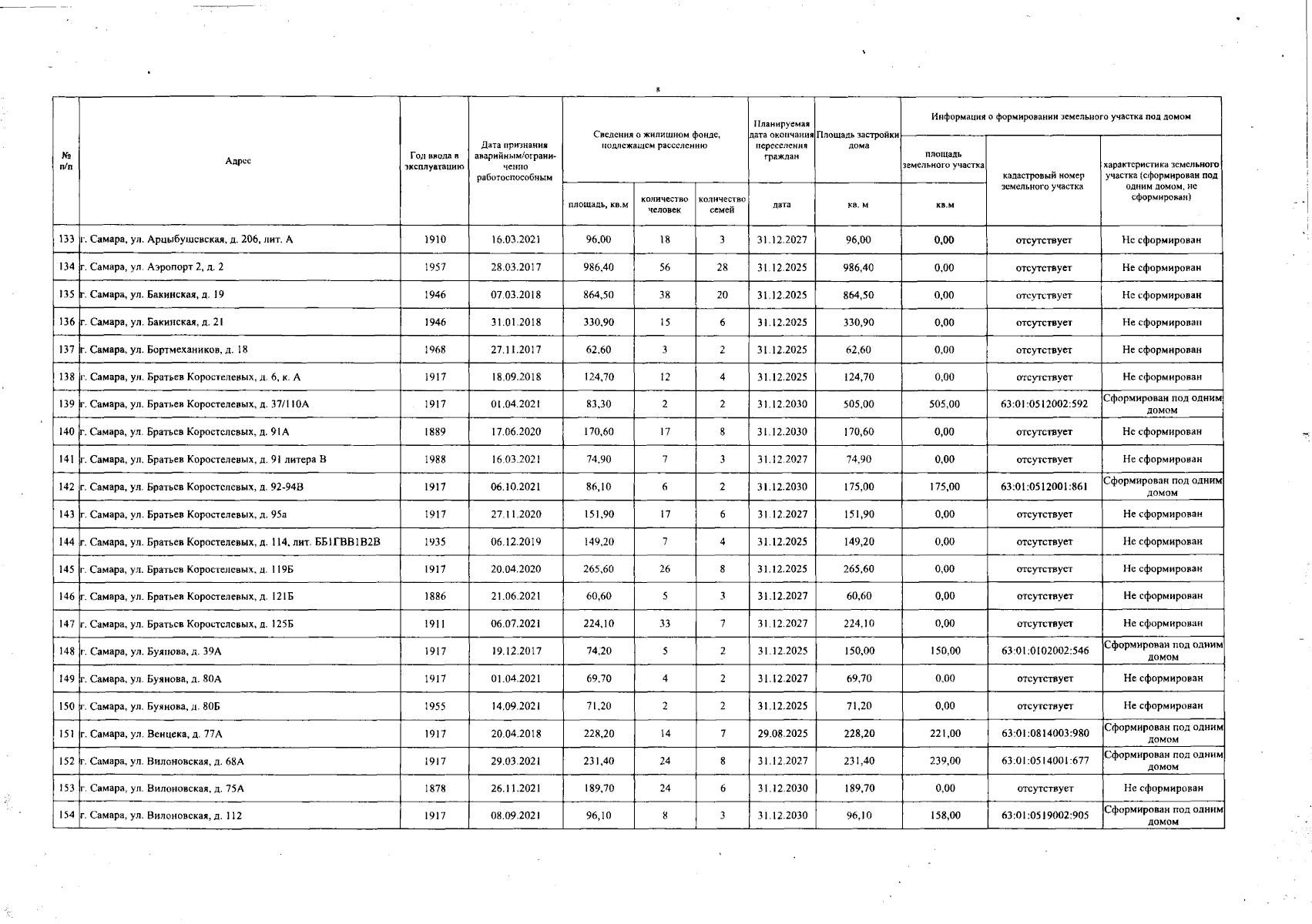
"О внесении изменений в распоряжение Правительства Самарской области от 14.02.2025 № 58-р "Об утверждении адресной программы Самарской области "Переселение граждан из аварийного жилищного фонда, признанного таковым в период с 1 января 2017 года до 1 января 2022 года"
Номер опубликования: 6300202507150005
Дата опубликования: 15.07.2025
Страница №13 из 66:
Увеличить