Официальное опубликование правовых актов
ОФИЦИАЛЬНОЕ ОПУБЛИКОВАНИЕ
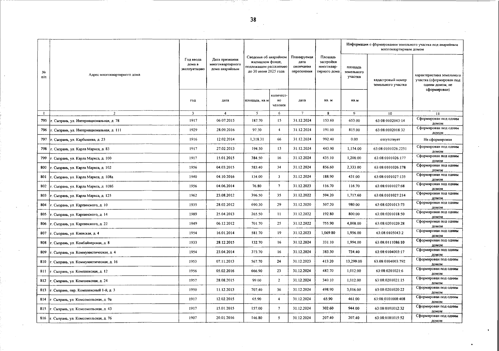
Распоряжение Правительства Самарской области от 15.11.2024 № 543-р
"О внесении изменений в распоряжение Правительства Самарской области от 24.02.2022 № 51-р "Об утверждении адресной программы Самарской области "Переселение граждан из аварийного жилищного фонда, признанного таковым до 1 января 2017 года" до 2024 года"
Номер опубликования: 6300202411190006
Дата опубликования: 19.11.2024
Страница №44 из 75:
Увеличить