Официальное опубликование правовых актов
ОФИЦИАЛЬНОЕ ОПУБЛИКОВАНИЕ
Распоряжение Правительства Самарской области от 17.01.2024 № 4-р
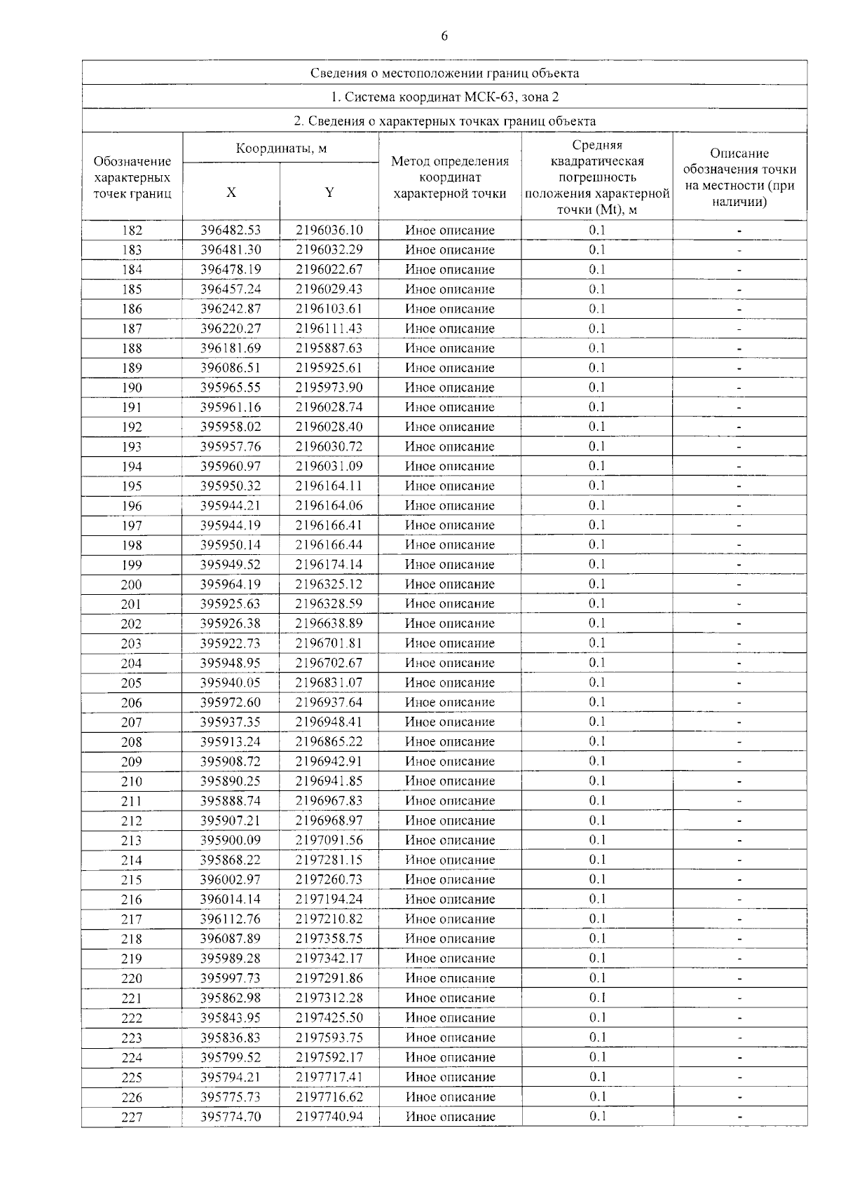
"Об установлении публичного сервитута в отношении земельных участков, расположенных на территории Самарской области, в целях размещения объекта регионального значения – объекта системы газоснабжения"
Номер опубликования: 6300202401190005
Дата опубликования: 19.01.2024
Страница №85 из 121:
Увеличить