Официальное опубликование правовых актов
ОФИЦИАЛЬНОЕ ОПУБЛИКОВАНИЕ
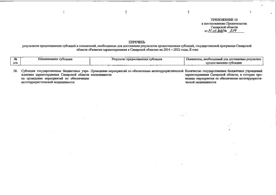
Постановление Правительства Самарской области от 31.03.2023 № 254
"Об использовании бюджетных ассигнований резервного фонда Правительства Самарской области и о внесении изменений в постановление Правительства Самарской области от 27.11.2013 № 674 "Об утверждении государственной программы Самарской области "Развитие здравоохранения в Самарской области" на 2014 – 2032 годы"
Номер опубликования: 6300202304040005
Дата опубликования: 04.04.2023
Страница №57 из 64:
Увеличить