Официальное опубликование правовых актов
ОФИЦИАЛЬНОЕ ОПУБЛИКОВАНИЕ
Постановление Правительства Самарской области от 30.01.2023 № 61
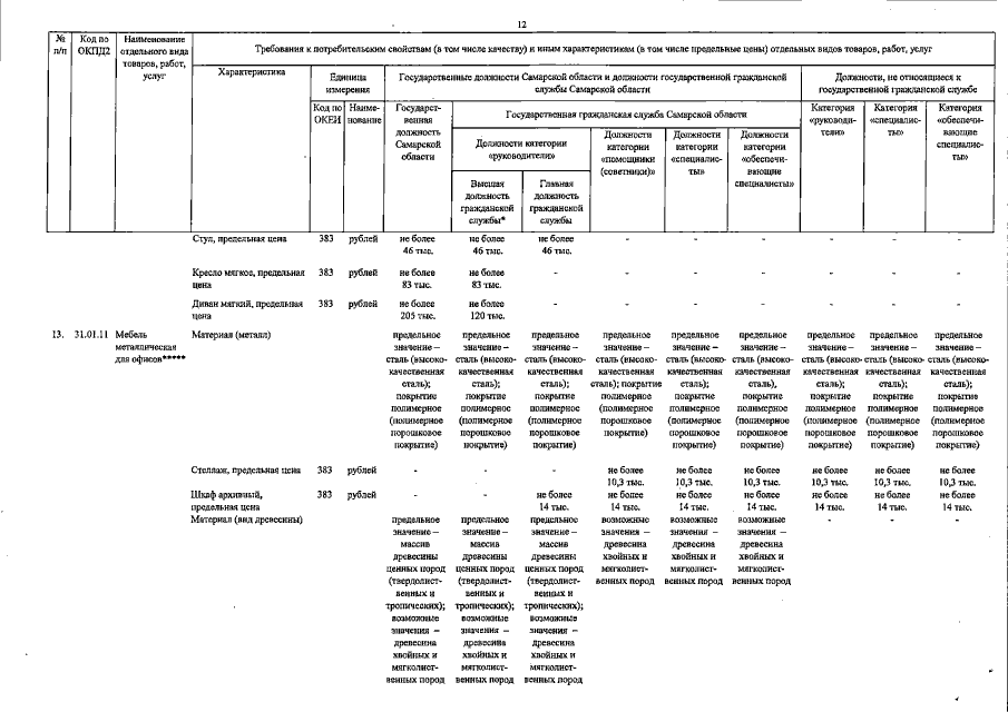
"О внесении изменения в постановление Правительства Самарской области от 29.12.2015 № 895 "Об определении требований к закупаемым государственными органами Самарской области, органами управления территориальными государственными внебюджетными фондами и подведомственными им казенными и бюджетными учреждениями, унитарными предприятиями Самарской области отдельным видам товаров, работ, услуг (в том числе предельных цен товаров, работ, услуг)"
Номер опубликования: 6300202302010009
Дата опубликования: 01.02.2023
Страница №14 из 16:
Увеличить