Официальное опубликование правовых актов
ОФИЦИАЛЬНОЕ ОПУБЛИКОВАНИЕ
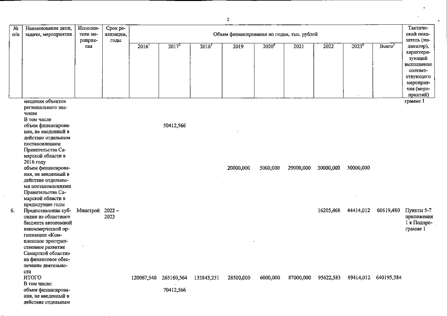
Постановление Правительства Самарской области от 21.12.2022 № 1197
"О внесении изменений в постановление Правительства Самарской области от 09.12.2015 № 822 "Об утверждении государственной программы Самарской области "Развитие инфраструктуры градостроительной деятельности на территории Самарской области" на 2016 – 2023 годы"
Номер опубликования: 6300202212230003
Дата опубликования: 23.12.2022
Страница №9 из 19:
Увеличить