Официальное опубликование правовых актов
ОФИЦИАЛЬНОЕ ОПУБЛИКОВАНИЕ
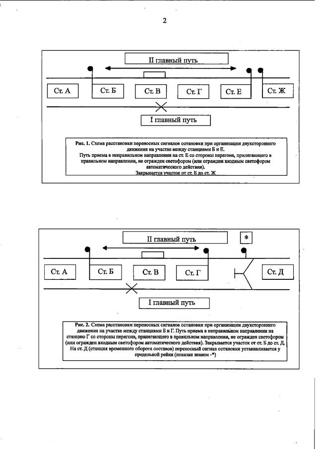
Постановление Правительства Самарской области от 22.11.2022 № 1023
"Об утверждении Правил технической эксплуатации метрополитена на территории Самарской области и о признании утратившим силу постановления Правительства Самарской области от 19.12.2019 № 958 "Об утверждении Правил технической эксплуатации метрополитена на территории Самарской области"
Номер опубликования: 6300202211230005
Дата опубликования: 23.11.2022
Страница №81 из 115:
Увеличить