Официальное опубликование правовых актов
ОФИЦИАЛЬНОЕ ОПУБЛИКОВАНИЕ
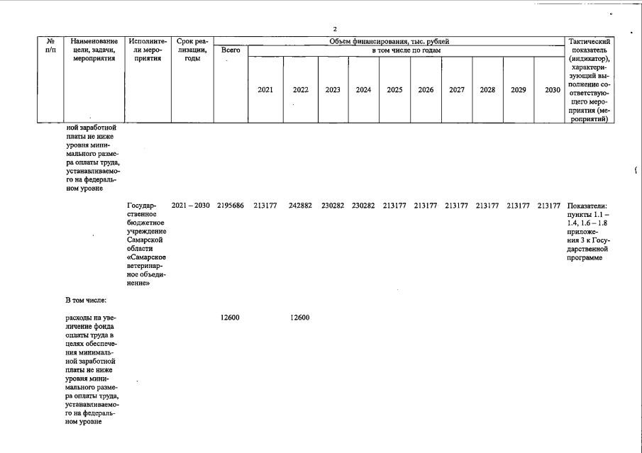
Постановление Правительства Самарской области от 23.08.2022 № 694
"О внесении изменений в постановление Правительства Самарской области от 23.12.2020 № 1080 "Об утверждении государственной программы Самарской области "Обеспечение эпизоотического и ветеринарно-санитарного благополучия территории Самарской области" на 2021 – 2030 годы"
Номер опубликования: 6300202208260007
Дата опубликования: 26.08.2022
Страница №5 из 8:
Увеличить