Официальное опубликование правовых актов
ОФИЦИАЛЬНОЕ ОПУБЛИКОВАНИЕ
Постановление Правительства Самарской области от 30.12.2021 № 1137
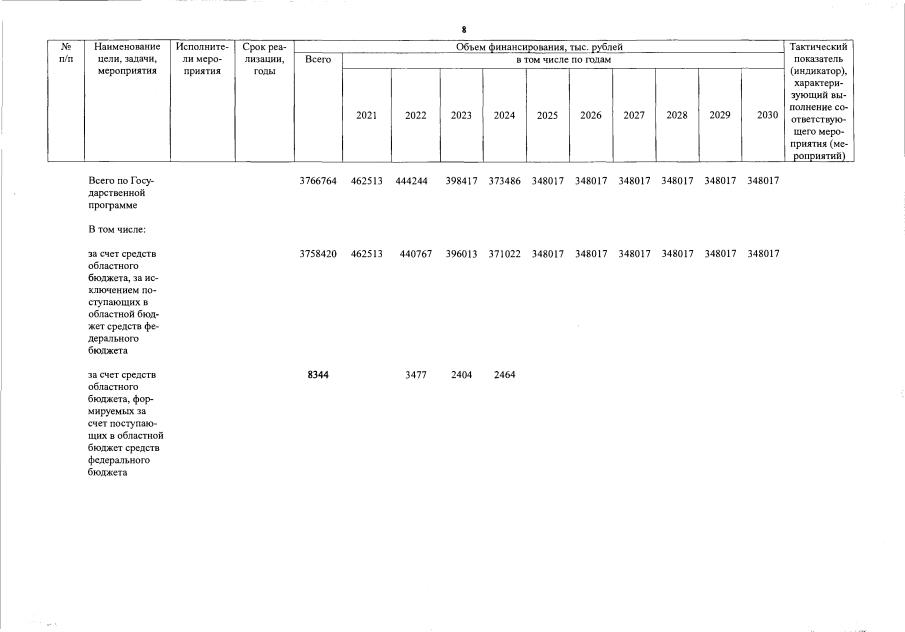
"О внесении изменений в постановление Правительства Самарской области от 23.12.2020 № 1080 "Об утверждении государственной программы Самарской области "Обеспечение эпизоотического и ветеринарно-санитарного благополучия территории Самарской области" на 2021 – 2030 годы"
Номер опубликования: 6300202112300033
Дата опубликования: 30.12.2021
Страница №20 из 50:
Увеличить