Официальное опубликование правовых актов
ОФИЦИАЛЬНОЕ ОПУБЛИКОВАНИЕ
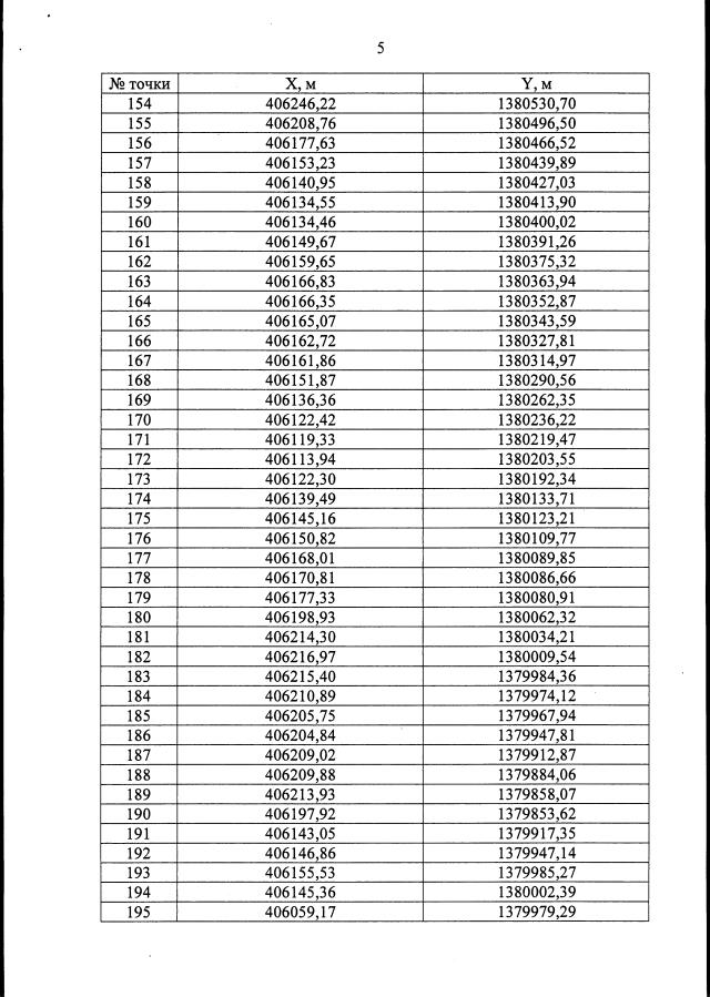
Постановление Правительства Самарской области от 27.04.2021 № 257
"Об отнесении земель к землям рекреационного назначения регионального значения и создании особо охраняемой территории "Лыжероллерная трасса "Чайка"
Номер опубликования: 6300202104300006
Дата опубликования: 30.04.2021
Страница №7 из 18:
Увеличить