Официальное опубликование правовых актов
ОФИЦИАЛЬНОЕ ОПУБЛИКОВАНИЕ
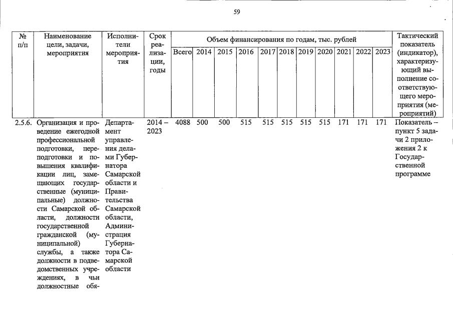
Постановление Правительства Самарской области от 02.02.2021 № 41 «О внесении изменений в постановление Правительства Самарской области от 27.11.2013 № 673 «Об утверждении государственной программы Самарской области «Противодействие коррупции в Самарской области на 2014 – 2022 годы»
Номер опубликования: 6300202102050005
Дата опубликования: 05.02.2021
Страница №77 из 96:
Увеличить