Официальное опубликование правовых актов
ОФИЦИАЛЬНОЕ ОПУБЛИКОВАНИЕ
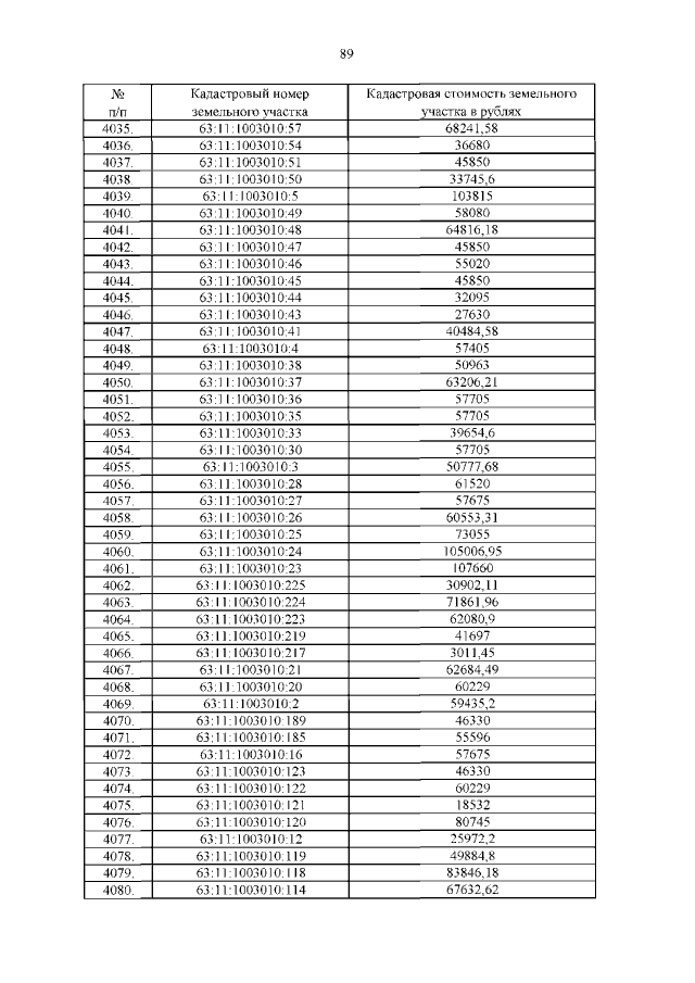
Постановление Правительства Самарской области от 27.11.2020 № 935 "Об утверждении результатов определения государственной кадастровой стоимости земельных участков в составе земель населенных пунктов в Самарской области"
Номер опубликования: 6300202012030001
Дата опубликования: 03.12.2020
Страница №92 из 21838:
Увеличить