Официальное опубликование правовых актов
ОФИЦИАЛЬНОЕ ОПУБЛИКОВАНИЕ
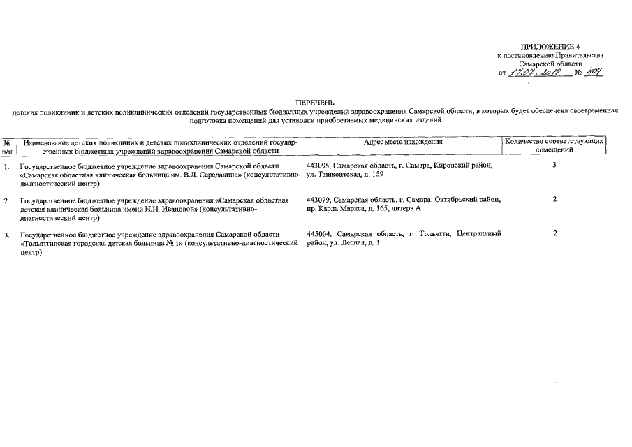
Постановление Правительства Самарской области от 17.07.2018 № 404
"О внесении изменений в постановление Правительства Самарской области от 27.11.2013 № 674 "Об утверждении государственной программы Самарской области "Развитие здравоохранения в Самарской области" на 2014-2020 годы"
Номер опубликования: 6300201807190026
Дата опубликования: 19.07.2018
Страница №14 из 17:
Увеличить