Официальное опубликование правовых актов
ОФИЦИАЛЬНОЕ ОПУБЛИКОВАНИЕ
Постановление Правительства Самарской области от 29.12.2017 № 913
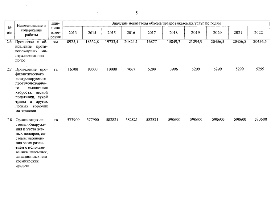
"О внесении изменений в постановление Правительства Самарской области от 14.11.2013 № 621 "Об утверждении государственной программы Самарской области "Развитие лесного хозяйства Самарской области на 2014 – 2022 годы"
Номер опубликования: 6300201712290006
Дата опубликования: 29.12.2017
Страница №24 из 74:
Увеличить