Постановление Правительства Самарской области от 19.05.2017 № 424-р
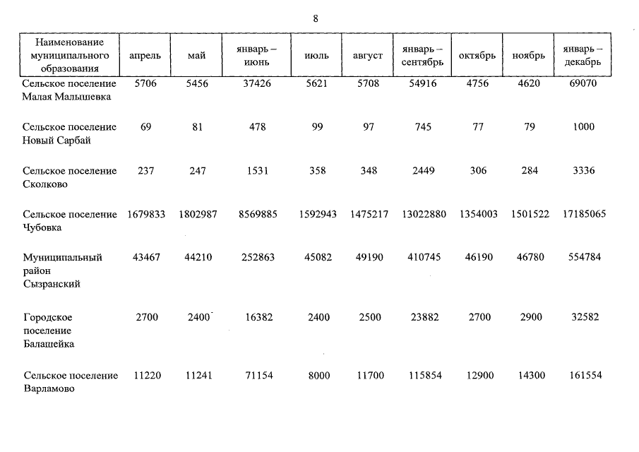
"О внесении изменений в распоряжение Правительства Самарской области от 22.12.2016 № 988-р "Об утверждении прогнозных значений социально-экономических показателей, оцениваемых при предоставлении из областного бюджета субсидий местным бюджетам для софинансирования расходных обязательств по вопросам местного значения, предоставляемых с учётом выполнения показателей социально-экономического развития, на 2017 год"
"О внесении изменений в распоряжение Правительства Самарской области от 22.12.2016 № 988-р "Об утверждении прогнозных значений социально-экономических показателей, оцениваемых при предоставлении из областного бюджета субсидий местным бюджетам для софинансирования расходных обязательств по вопросам местного значения, предоставляемых с учётом выполнения показателей социально-экономического развития, на 2017 год"
Номер опубликования: 6300201705230008
Дата опубликования:
23.05.2017
