Официальное опубликование правовых актов
ОФИЦИАЛЬНОЕ ОПУБЛИКОВАНИЕ
Постановление Правительства Самарской области от 09.02.2017 № 79
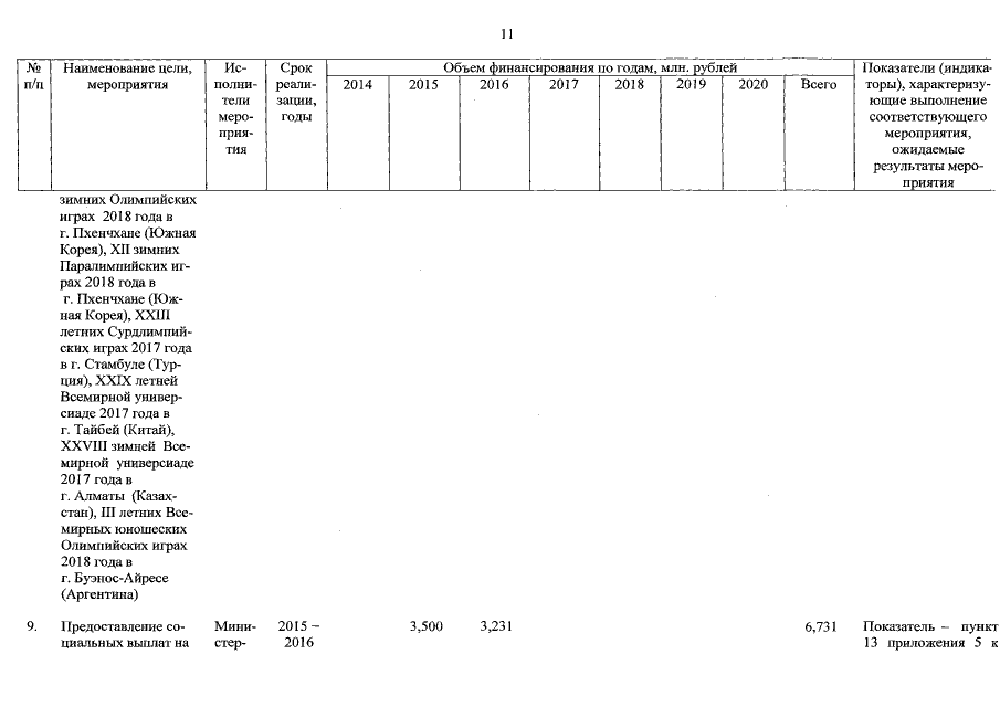
"О внесении изменений в постановление Правительства Самарской области от 27.11.2013 № 683 "Об утверждении государственной программы Самарской области "Развитие физической культуры и спорта в Самарской области на 2014 – 2018 годы"
Номер опубликования: 6300201702140021
Дата опубликования: 14.02.2017
Страница №34 из 147:
Увеличить