Официальное опубликование правовых актов
ОФИЦИАЛЬНОЕ ОПУБЛИКОВАНИЕ
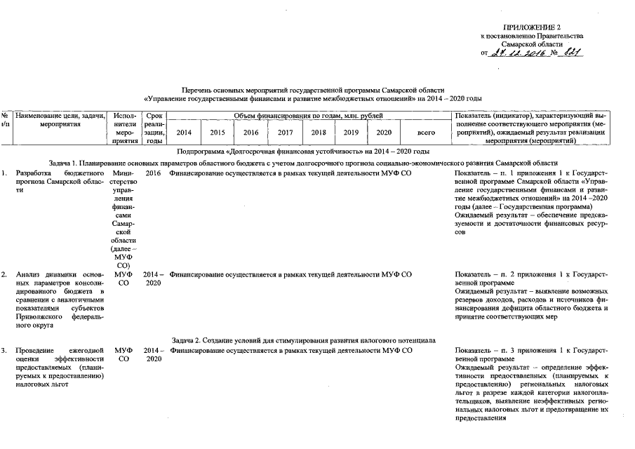
Постановление Правительства Самарской области от 27.12.2016 № 821
"О внесении изменений в постановление Правительства Самарской области от 14.11.2013 № 623 "Об утверждении государственной программы Самарской области "Управление государственными финансами и развитие межбюджетных отношений " на 2014 - 2020 годы"
Номер опубликования: 6300201612290004
Дата опубликования: 29.12.2016
Страница №28 из 51:
Увеличить