Официальное опубликование правовых актов
ОФИЦИАЛЬНОЕ ОПУБЛИКОВАНИЕ
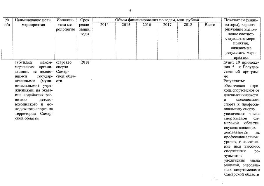
Постановление Правительства Самарской области от 24.11.2016 № 672
"О внесении изменений в постановление Правительства Самарской области от 27.11.2013 № 683 "Об утверждении государственной программы Самарской области "Развитие физической культуры и спорта в Самарской области на 2014 – 2018 годы"
Номер опубликования: 6300201611290014
Дата опубликования: 29.11.2016
Страница №28 из 139:
Увеличить