Официальное опубликование правовых актов
ОФИЦИАЛЬНОЕ ОПУБЛИКОВАНИЕ
Постановление Правительства Самарской области от 02.09.2016 № 504
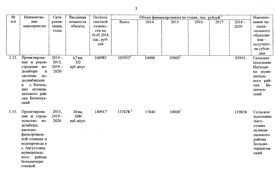
"О внесении изменений в постановление Правительства Самарской области от 29.11.2013 № 701 "Об утверждении государственной программы Самарской области "Развитие коммунальной инфраструктуры и совершенствование системы обращения с отходами в Самарской области" на 2014 – 2020 годы"
Номер опубликования: 6300201609070002
Дата опубликования: 07.09.2016
Страница №11 из 32:
Увеличить