Официальное опубликование правовых актов
ОФИЦИАЛЬНОЕ ОПУБЛИКОВАНИЕ
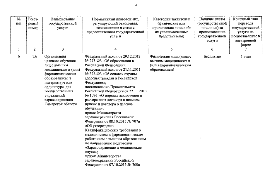
Постановление Правительства Самарской области от 21.06.2016 № 320
"О внесении изменений в постановление Правительства Самарской области от 07.09.2011 № 447 "Об утверждении Перечня государственных услуг, предоставляемых органами исполнительной власти Самарской области, а также органами местного самоуправления при осуществлении отдельных государственных полномочий, переданных федеральными законами и законами Самарской области, и Перечня услуг, которые являются необходимыми и обязательными для предоставления органами исполнительной власти Самарской области государственных услуг и предоставляются организациями, участвующими в предоставлении государственных услуг"
Номер опубликования: 6300201606230004
Дата опубликования: 23.06.2016
Страница №4 из 10:
Увеличить