Официальное опубликование правовых актов
ОФИЦИАЛЬНОЕ ОПУБЛИКОВАНИЕ
Постановление Правительства Самарской области от 28.08.2015 № 538
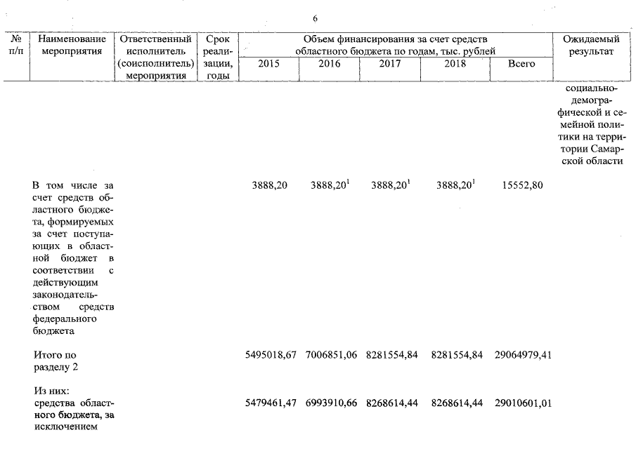
"О внесении изменений в постановление Правительства Самарской области от 23.07.2014 № 418 "Об утверждении государственной программы Самарской области "Развитие социальной защиты населения в Самарской области" на 2014 – 2018 годы"
Номер опубликования: 6300201509030031
Дата опубликования: 03.09.2015
Страница №14 из 15:
Увеличить