Официальное опубликование правовых актов
ОФИЦИАЛЬНОЕ ОПУБЛИКОВАНИЕ
Распоряжение Правительства Самарской области от 03.08.2015 № 617-р
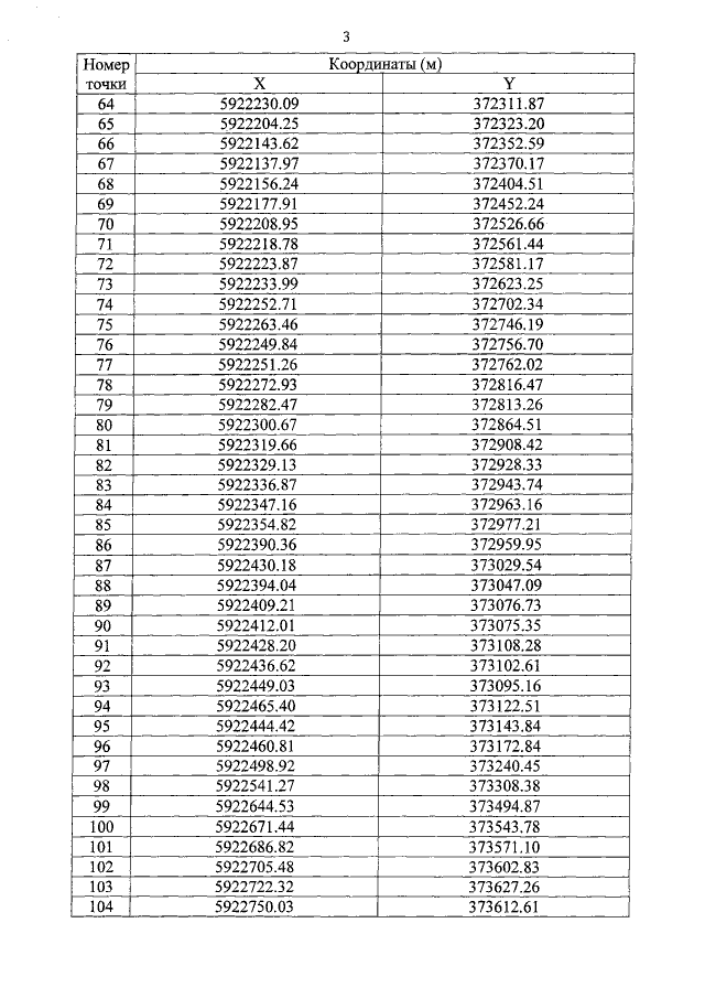
"О внесении изменения в распоряжение Правительства Самарской области от 24.12.2014 № 999-р "Об утверждении основной части проекта планировки территории для размещения объекта транспортной инфраструктуры регионального значения "Реконструкция автомобильной дороги Волжский – аэропорт "Курумоч"
Номер опубликования: 6300201508050013
Дата опубликования: 05.08.2015
Страница №10 из 26:
Увеличить