Официальное опубликование правовых актов
ОФИЦИАЛЬНОЕ ОПУБЛИКОВАНИЕ
Постановление Правительства Самарской области от 20.02.2015 № 86
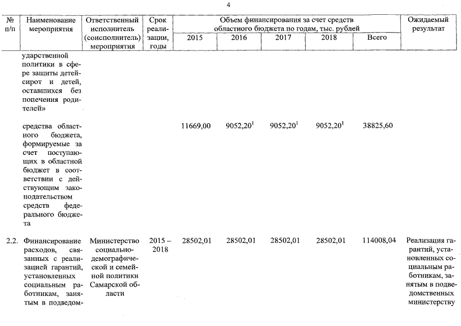
"О внесении изменений в постановление Правительства Самарской области от 23.07.2014 № 418 "Об утверждении государственной программы Самарской области "Развитие социальной защиты населения в Самарской области" на 2014 – 2018 годы"
Номер опубликования: 6300201502240003
Дата опубликования: 24.02.2015
Страница №8 из 11:
Увеличить