Официальное опубликование правовых актов
ОФИЦИАЛЬНОЕ ОПУБЛИКОВАНИЕ
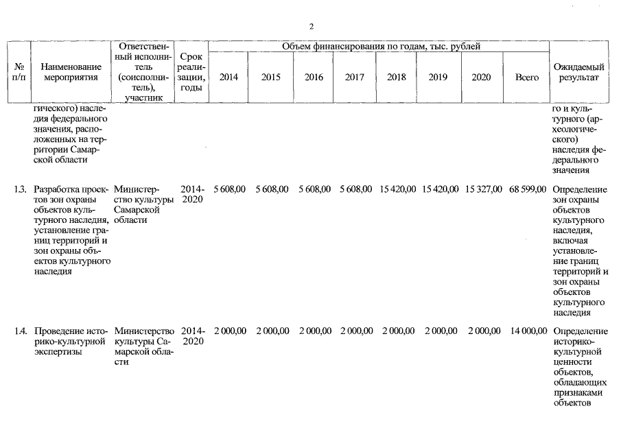
Постановление Правительства Самарской области от 11.02.2015 № 53
"О внесении изменений в постановление Правительства Самарской области от 27.11.2013 № 682 "Об утверждении государственной программы Самарской области "Развитие культуры в Самарской области на период до 2020 года" и признании утратившими силу отдельных постановлений Правительства Самарской области"
Номер опубликования: 6300201502120004
Дата опубликования: 12.02.2015
Страница №18 из 58:
Увеличить