Официальное опубликование правовых актов
ОФИЦИАЛЬНОЕ ОПУБЛИКОВАНИЕ
Постановление Правительства Самарской области от 10.12.2014 № 769
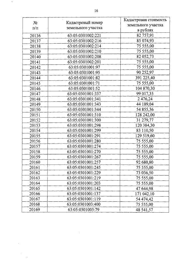
"О внесении изменений в постановление Правительства Самарской области от 13.11.2013 № 610 "Об утверждении результатов определения кадастровой стоимости земельных участков в составе земель населенных пунктов Самарской области"
Номер опубликования: 6300201412100035
Дата опубликования: 10.12.2014
Страница №25 из 25:
Увеличить