Официальное опубликование правовых актов
ОФИЦИАЛЬНОЕ ОПУБЛИКОВАНИЕ
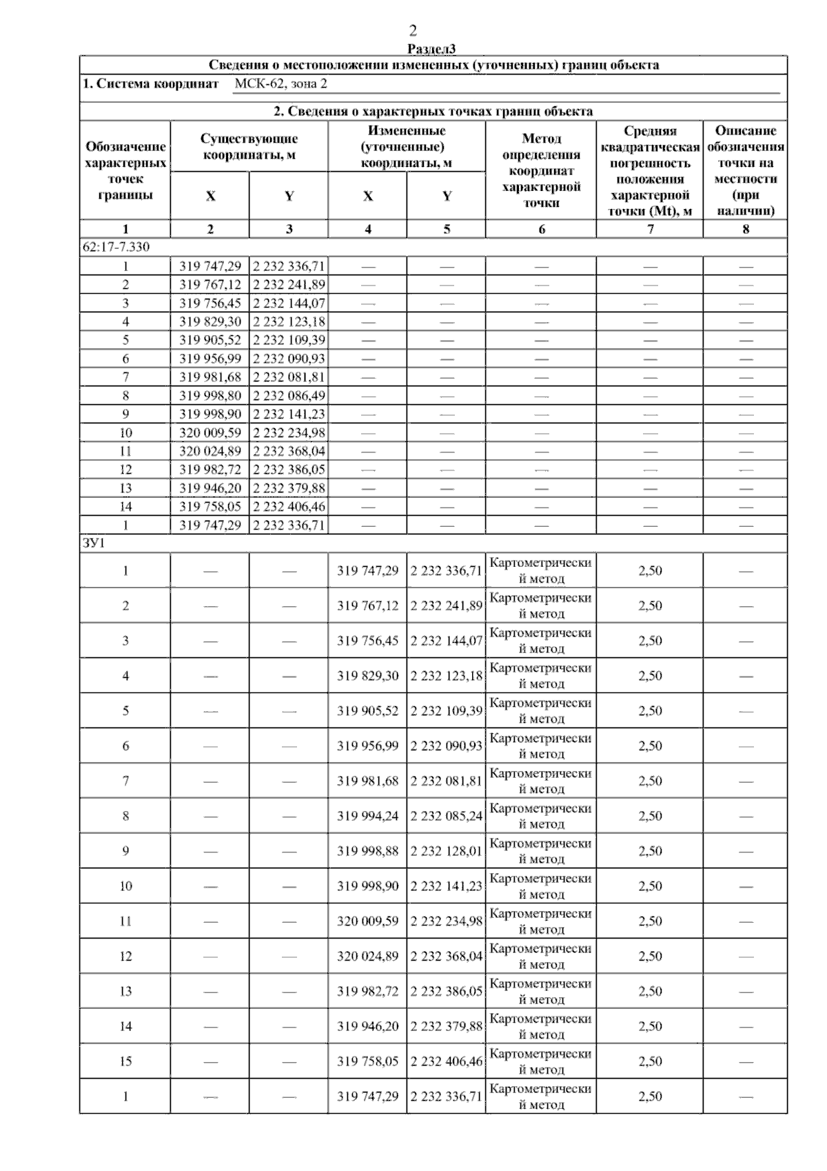
Постановление Главного управления архитектуры и градостроительства Рязанской области от 09.04.2026 № 261-п
"О внесении изменений в правила землепользования и застройки муниципального образования - Алексеевское сельское поселение Сараевского муниципального района Рязанской области"
(Зарегистрирован 10.04.2026 № 391)
Номер опубликования: 6201202604140001
Дата опубликования: 14.04.2026
Страница №7 из 8:
Увеличить