Официальное опубликование правовых актов
ОФИЦИАЛЬНОЕ ОПУБЛИКОВАНИЕ
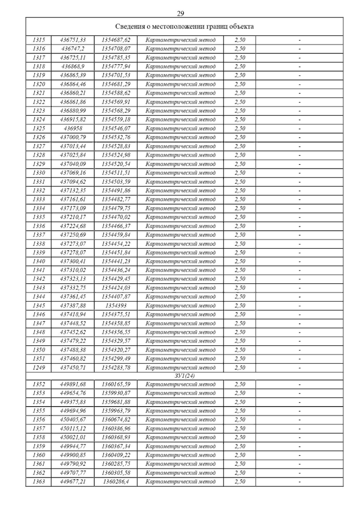
Постановление Главного управления архитектуры и градостроительства Рязанской области от 08.04.2026 № 254-п
"О внесении изменений в правила землепользования и застройки муниципального образования – Мурминское сельское поселение Рязанского муниципального района Рязанской области"
(Зарегистрирован 09.04.2026 № 384)
Номер опубликования: 6201202604130007
Дата опубликования: 13.04.2026
Страница №33 из 130:
Увеличить