Официальное опубликование правовых актов
ОФИЦИАЛЬНОЕ ОПУБЛИКОВАНИЕ
Постановление Главного управления архитектуры и градостроительства Рязанской области от 31.03.2026 № 244-п
"О внесении изменения в генеральный план муниципального образования – Павелецкое городское поселение Скопинского муниципального района Рязанской области"
(Зарегистрирован 01.04.2026 № 365)
Номер опубликования: 6201202604030011
Дата опубликования: 03.04.2026
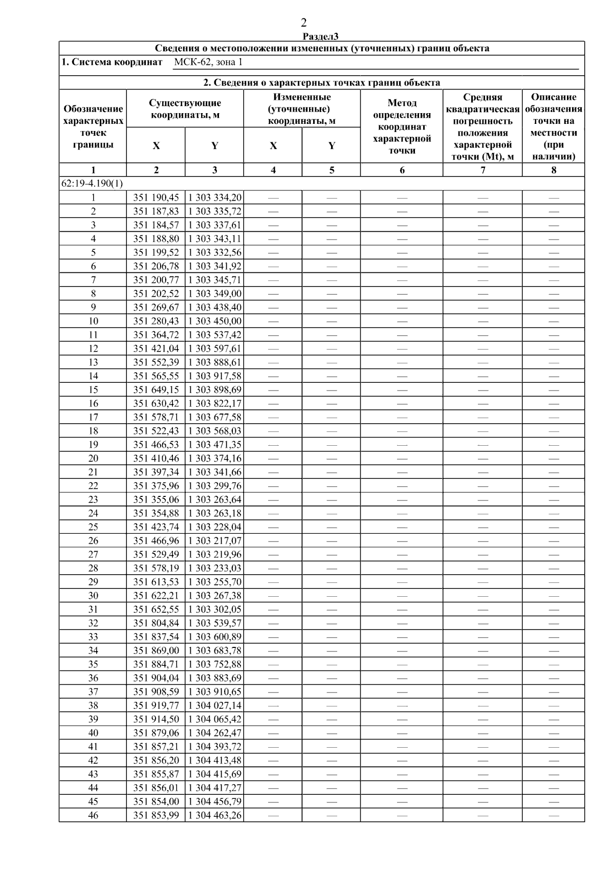
Страница №4 из 13:
Увеличить