Официальное опубликование правовых актов
ОФИЦИАЛЬНОЕ ОПУБЛИКОВАНИЕ
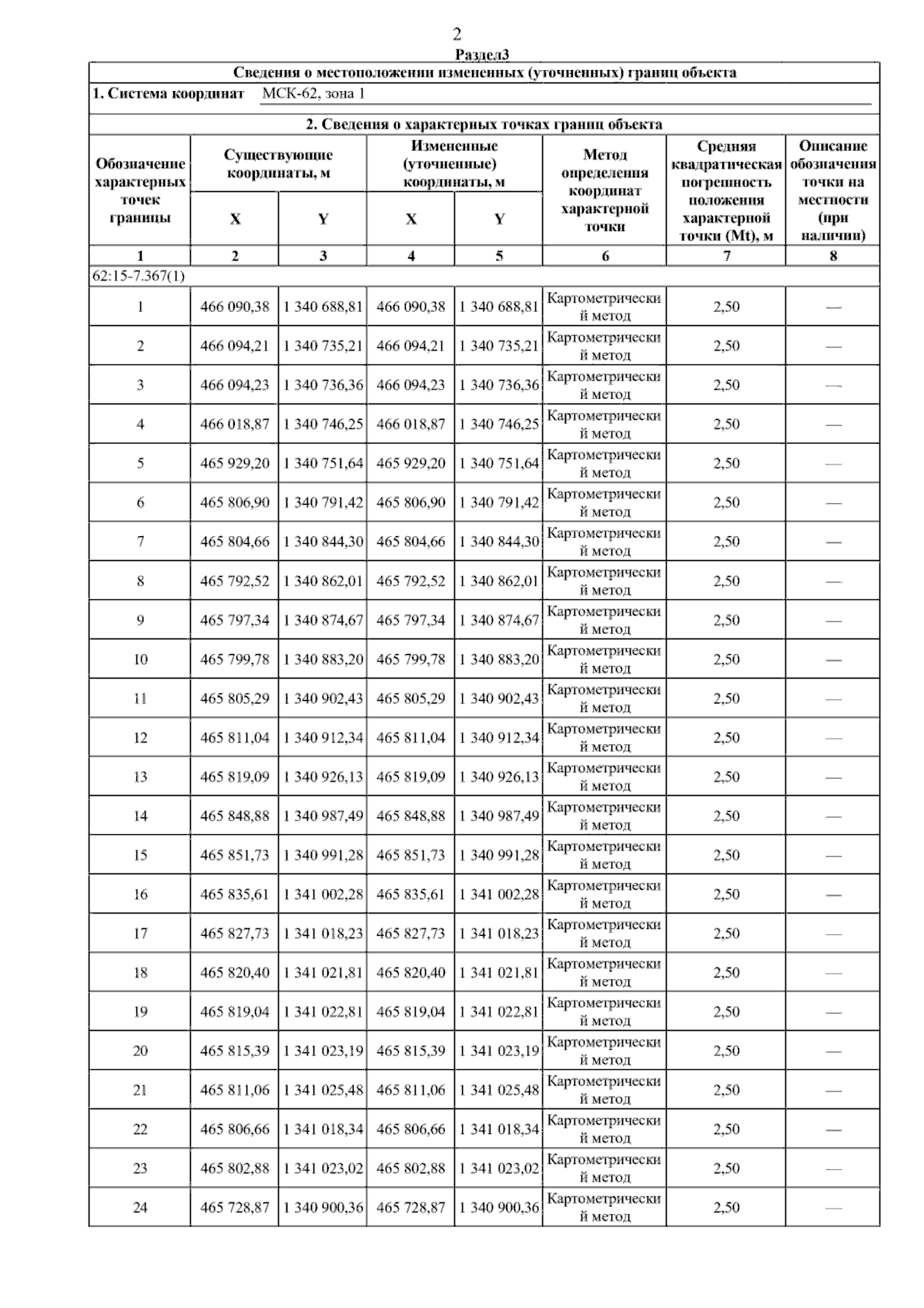
Постановление Главного управления архитектуры и градостроительства Рязанской области от 31.03.2026 № 240-п
"О внесении изменения в правила землепользования и застройки муниципального образования – Заборьевское сельское поселение Рязанского муниципального района Рязанской области"
(Зарегистрирован 01.04.2026 № 361)
Номер опубликования: 6201202604030008
Дата опубликования: 03.04.2026
Страница №4 из 18:
Увеличить