Официальное опубликование правовых актов
ОФИЦИАЛЬНОЕ ОПУБЛИКОВАНИЕ
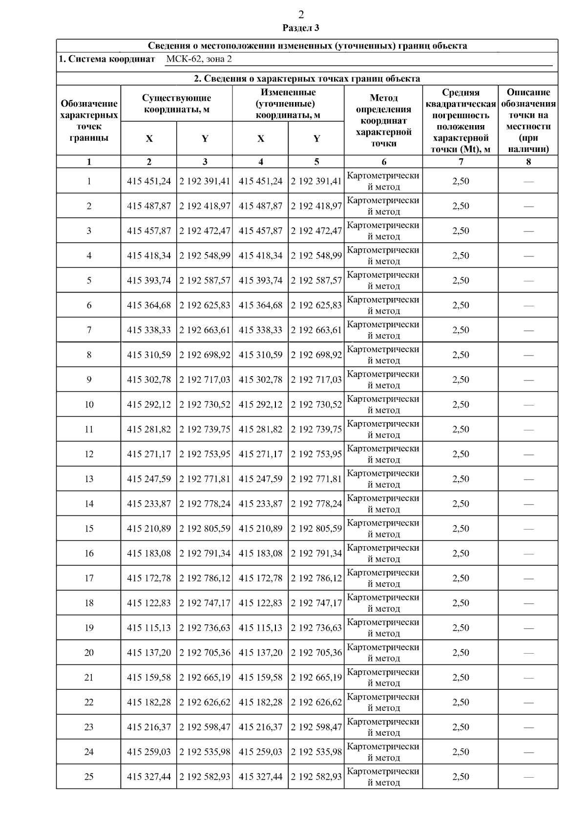
Постановление Главного управления архитектуры и градостроительства Рязанской области от 05.02.2026 № 82-п
"О внесении изменений в генеральный план муниципального образования – Мосоловское сельское поселение Шиловского муниципального района Рязанской области"
(Зарегистрирован 06.02.2026 № 115)
Номер опубликования: 6201202602100004
Дата опубликования: 10.02.2026
Страница №4 из 13:
Увеличить