Официальное опубликование правовых актов
ОФИЦИАЛЬНОЕ ОПУБЛИКОВАНИЕ
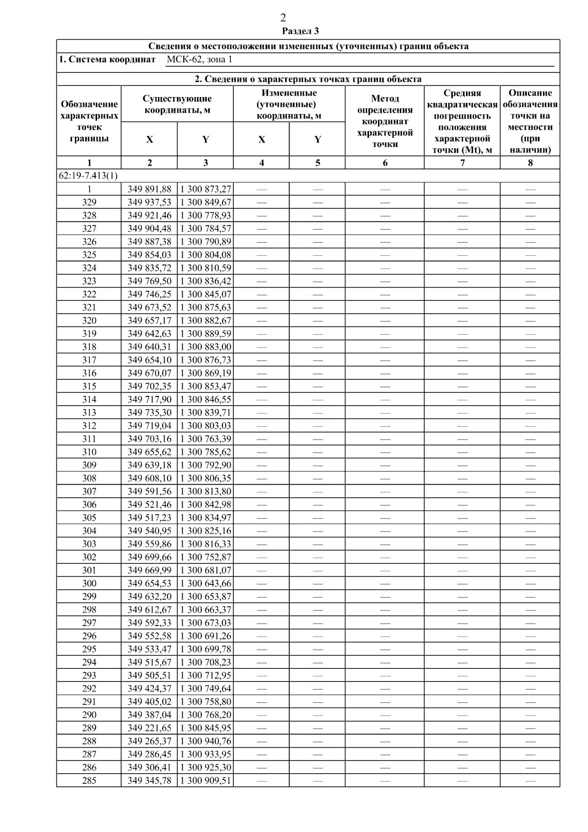
Постановление Главного управления архитектуры и градостроительства Рязанской области от 04.02.2026 № 72-п
"О внесении изменений в правила землепользования и застройки муниципального образования - Павелецкое городское поселение Скопинского муниципального района Рязанской области"
(Зарегистрирован 05.02.2026 № 104)
Номер опубликования: 6201202602090008
Дата опубликования: 09.02.2026
Страница №47 из 88:
Увеличить