Официальное опубликование правовых актов
ОФИЦИАЛЬНОЕ ОПУБЛИКОВАНИЕ
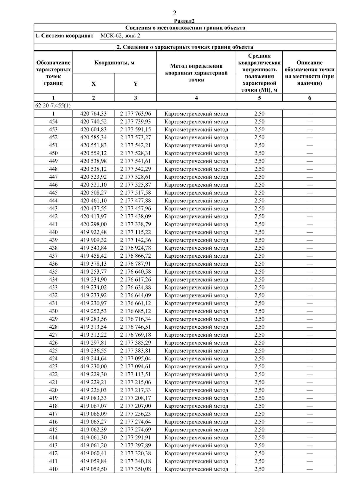
Постановление Главного управления архитектуры и градостроительства Рязанской области от 04.02.2026 № 76-п
"О внесении изменений в правила землепользования и застройки муниципального образования – Спасск-Рязанское городское поселение Спасского муниципального района Рязанской области"
(Зарегистрирован 05.02.2026 № 108)
Номер опубликования: 6201202602090003
Дата опубликования: 09.02.2026
Страница №47 из 124:
Увеличить