Официальное опубликование правовых актов
ОФИЦИАЛЬНОЕ ОПУБЛИКОВАНИЕ
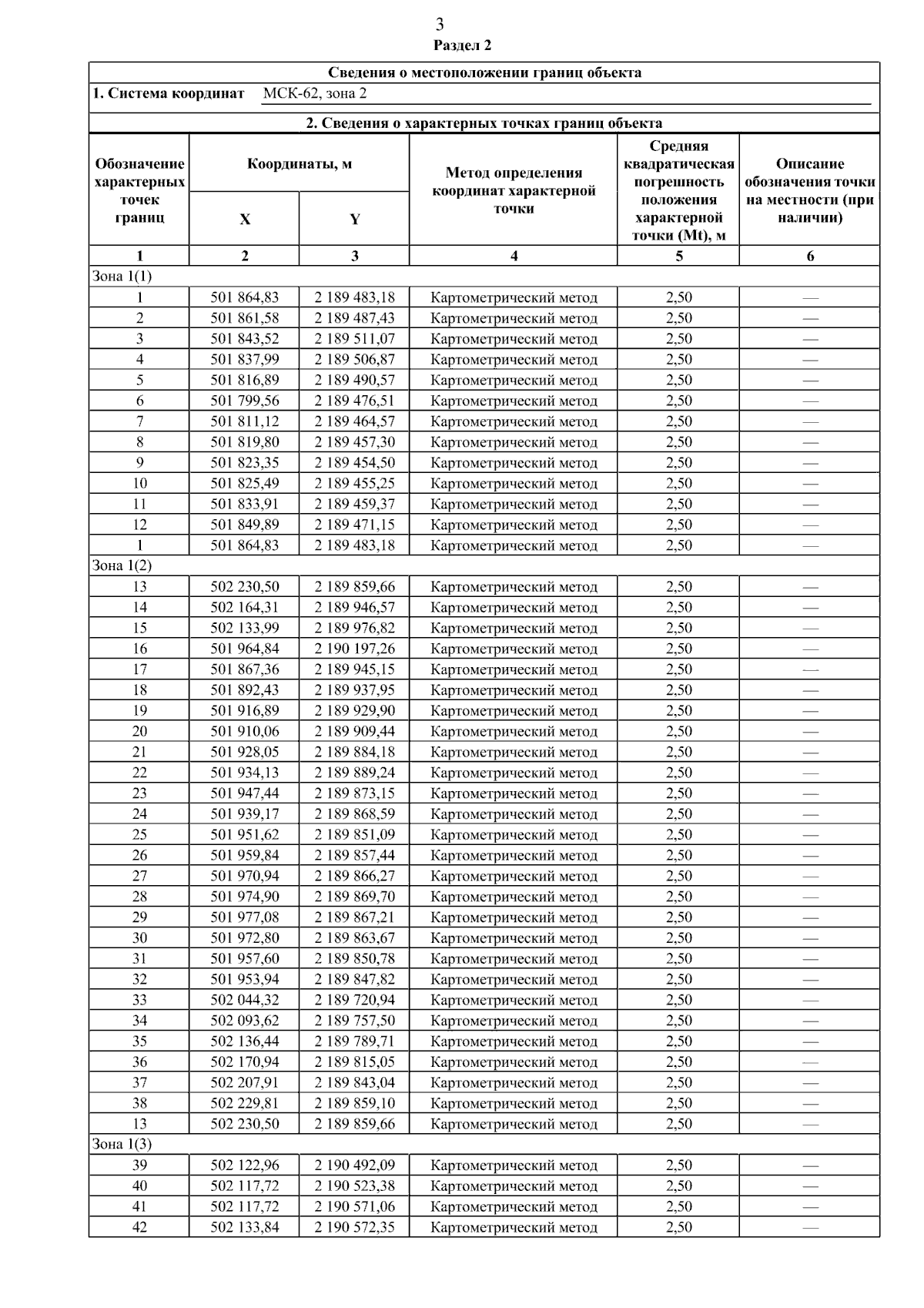
Постановление Главного управления архитектуры и градостроительства Рязанской области от 03.02.2026 № 65-п
"О внесении изменений в правила землепользования и застройки муниципального образования – Тумское городское поселение Клепиковского муниципального района Рязанской области"
(Зарегистрирован 04.02.2026 № 96)
Номер опубликования: 6201202602050003
Дата опубликования: 05.02.2026
Страница №25 из 216:
Увеличить