Официальное опубликование правовых актов
ОФИЦИАЛЬНОЕ ОПУБЛИКОВАНИЕ
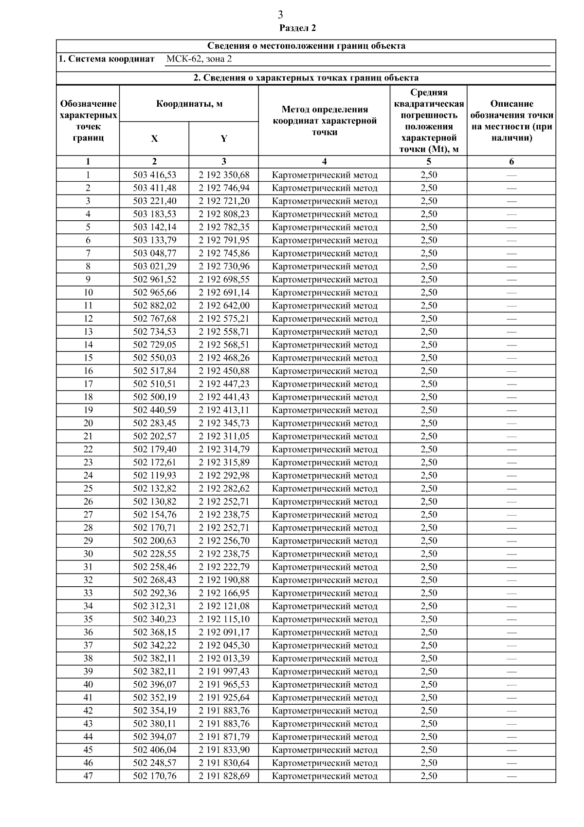
Постановление Главного управления архитектуры и градостроительства Рязанской области от 29.01.2026 № 50-п
"О внесении изменения в генеральный план муниципального образования – Тумское городское поселение Клепиковского муниципального района Рязанской области"
(Зарегистрирован 30.01.2026 № 76)
Номер опубликования: 6201202602020008
Дата опубликования: 02.02.2026
Страница №5 из 12:
Увеличить