Официальное опубликование правовых актов
ОФИЦИАЛЬНОЕ ОПУБЛИКОВАНИЕ
Постановление Главного управления архитектуры и градостроительства Рязанской области от 29.01.2026 № 49-п
"О внесении изменений в правила землепользования и застройки муниципального образования – Пертовское сельское поселение Чучковского муниципального района Рязанской области"
(Зарегистрирован 30.01.2026 № 75)
Номер опубликования: 6201202602020004
Дата опубликования: 02.02.2026
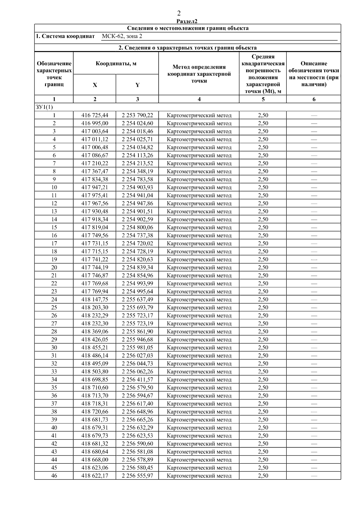
Страница №4 из 81:
Увеличить