Официальное опубликование правовых актов
ОФИЦИАЛЬНОЕ ОПУБЛИКОВАНИЕ
Постановление Главного управления архитектуры и градостроительства Рязанской области от 26.01.2026 № 42-п
"О внесении изменений в правила землепользования и застройки муниципального образования – Рыбновское городское поселение Рыбновского муниципального района Рязанской области"
(Зарегистрирован 27.01.2026 № 58)
Номер опубликования: 6201202601300007
Дата опубликования: 30.01.2026
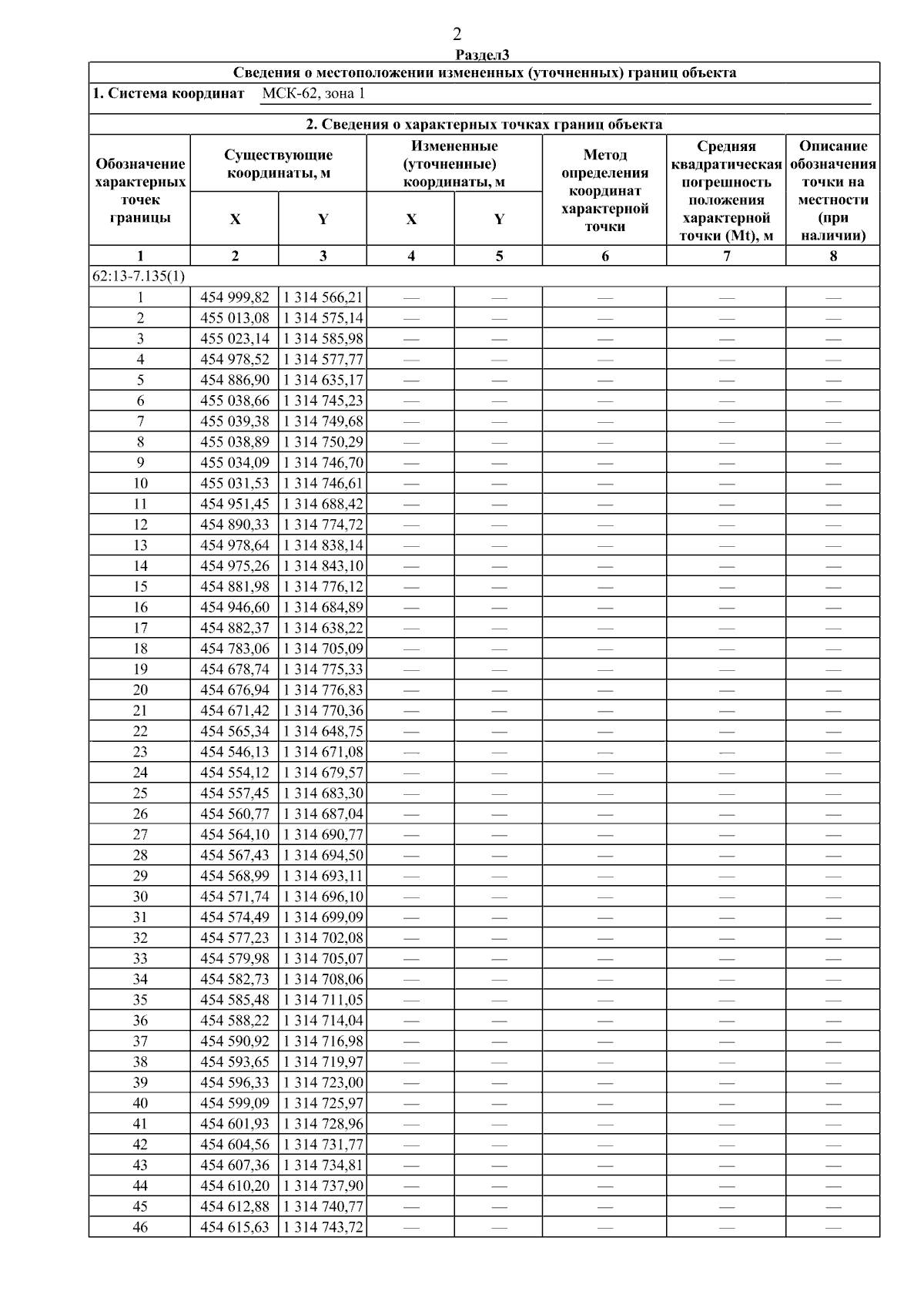
Страница №1119 из 1157:
Увеличить