Официальное опубликование правовых актов
ОФИЦИАЛЬНОЕ ОПУБЛИКОВАНИЕ
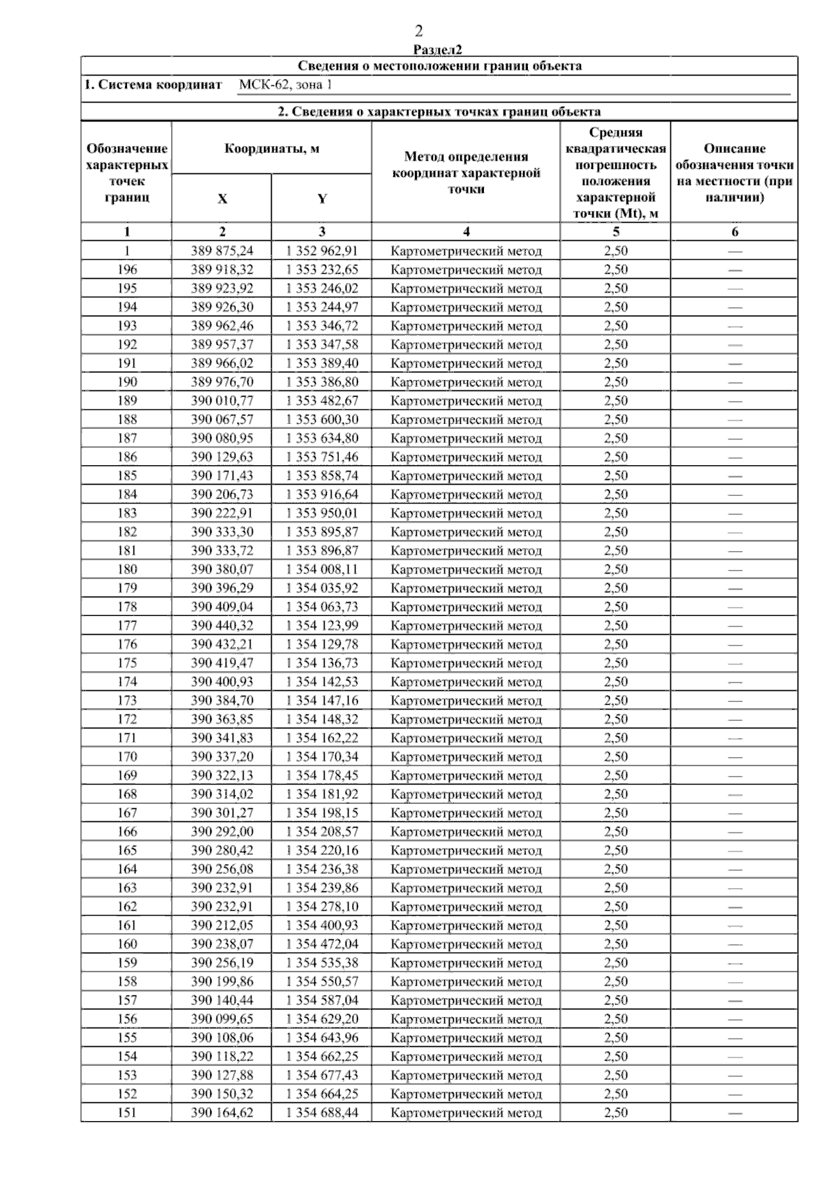
Постановление Главного управления архитектуры и градостроительства Рязанской области от 26.01.2026 № 38-п
"О внесении изменения в генеральный план муниципального образования – Мелекшинское сельское поселение Старожиловского муниципального района Рязанской области"
(Зарегистрирован 27.01.2026 № 54)
Номер опубликования: 6201202601290014
Дата опубликования: 29.01.2026
Страница №4 из 9:
Увеличить