Официальное опубликование правовых актов
ОФИЦИАЛЬНОЕ ОПУБЛИКОВАНИЕ
Постановление Главного управления архитектуры и градостроительства Рязанской области от 22.01.2026 № 25-п
"О внесении изменения в генеральный план муниципального образования – Алексеевское сельское поселение Клепиковского муниципального района Рязанской области"
(Зарегистрирован 23.01.2026 № 38)
Номер опубликования: 6201202601260012
Дата опубликования: 26.01.2026
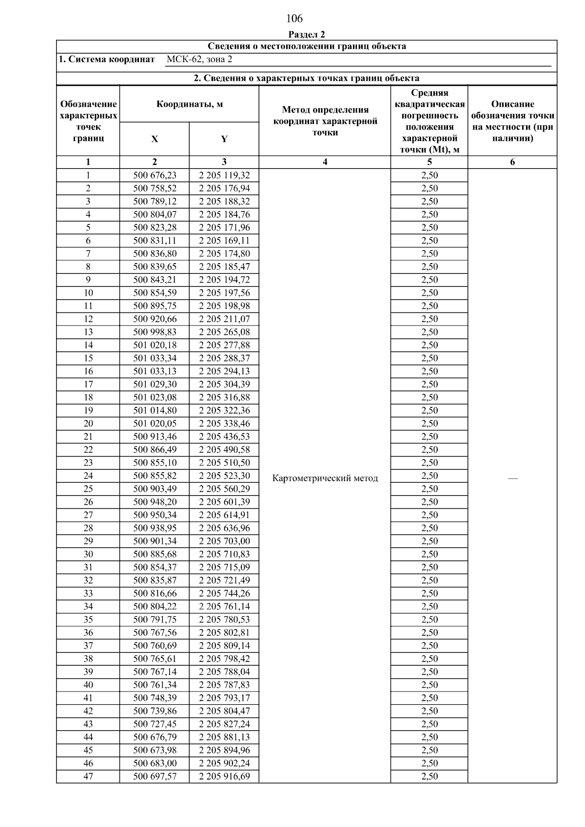
Страница №108 из 128:
Увеличить