Официальное опубликование правовых актов
ОФИЦИАЛЬНОЕ ОПУБЛИКОВАНИЕ
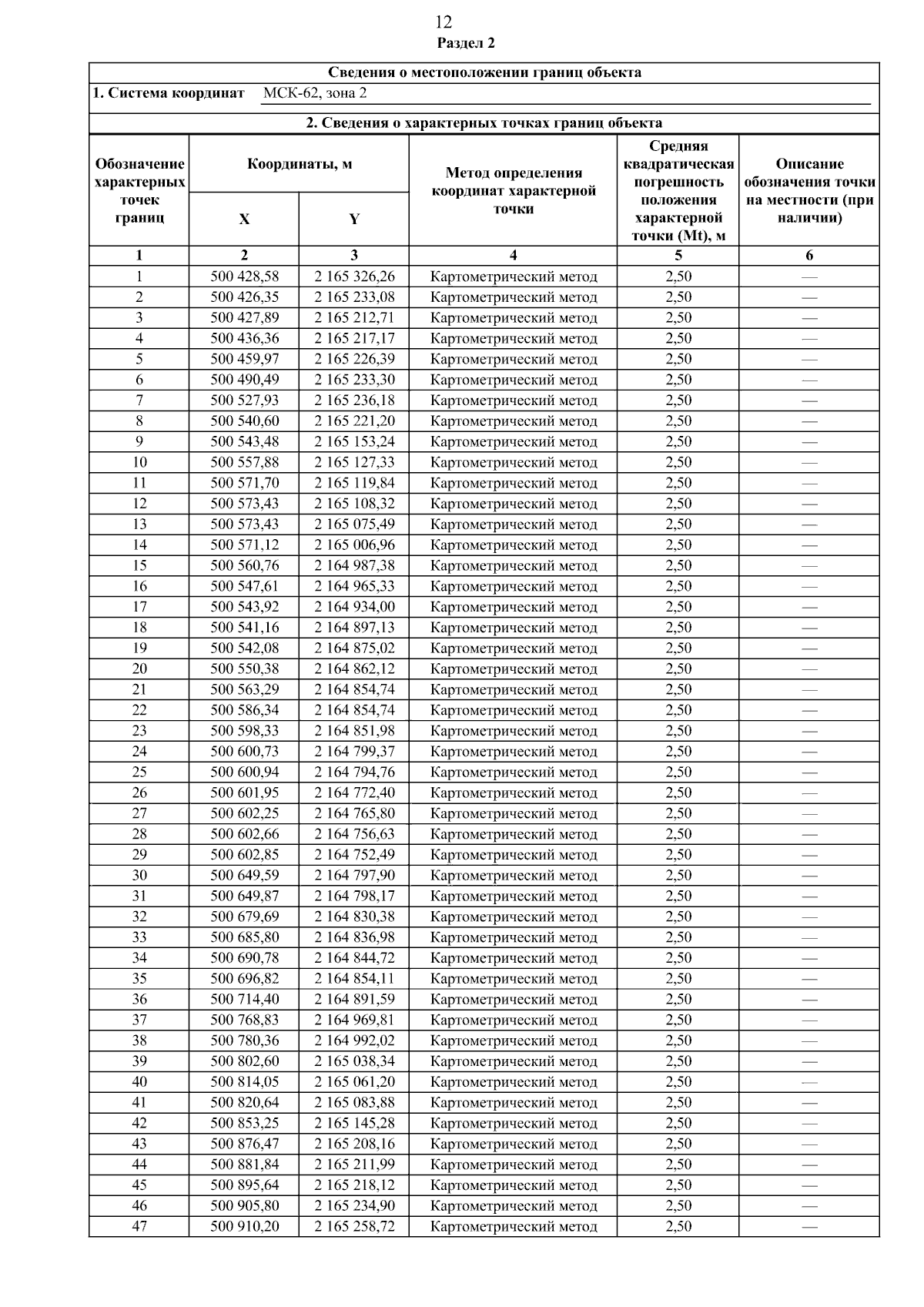
Постановление Главного управления архитектуры и градостроительства Рязанской области от 22.01.2026 № 31-п
"О внесении изменения в генеральный план муниципального образования – Спас-Клепиковское городское поселение Клепиковского муниципального района Рязанской области"
(Зарегистрирован 23.01.2026 № 44)
Номер опубликования: 6201202601260007
Дата опубликования: 26.01.2026
Страница №14 из 24:
Увеличить