Официальное опубликование правовых актов
ОФИЦИАЛЬНОЕ ОПУБЛИКОВАНИЕ
Постановление Главного управления архитектуры и градостроительства Рязанской области от 22.01.2026 № 30-п
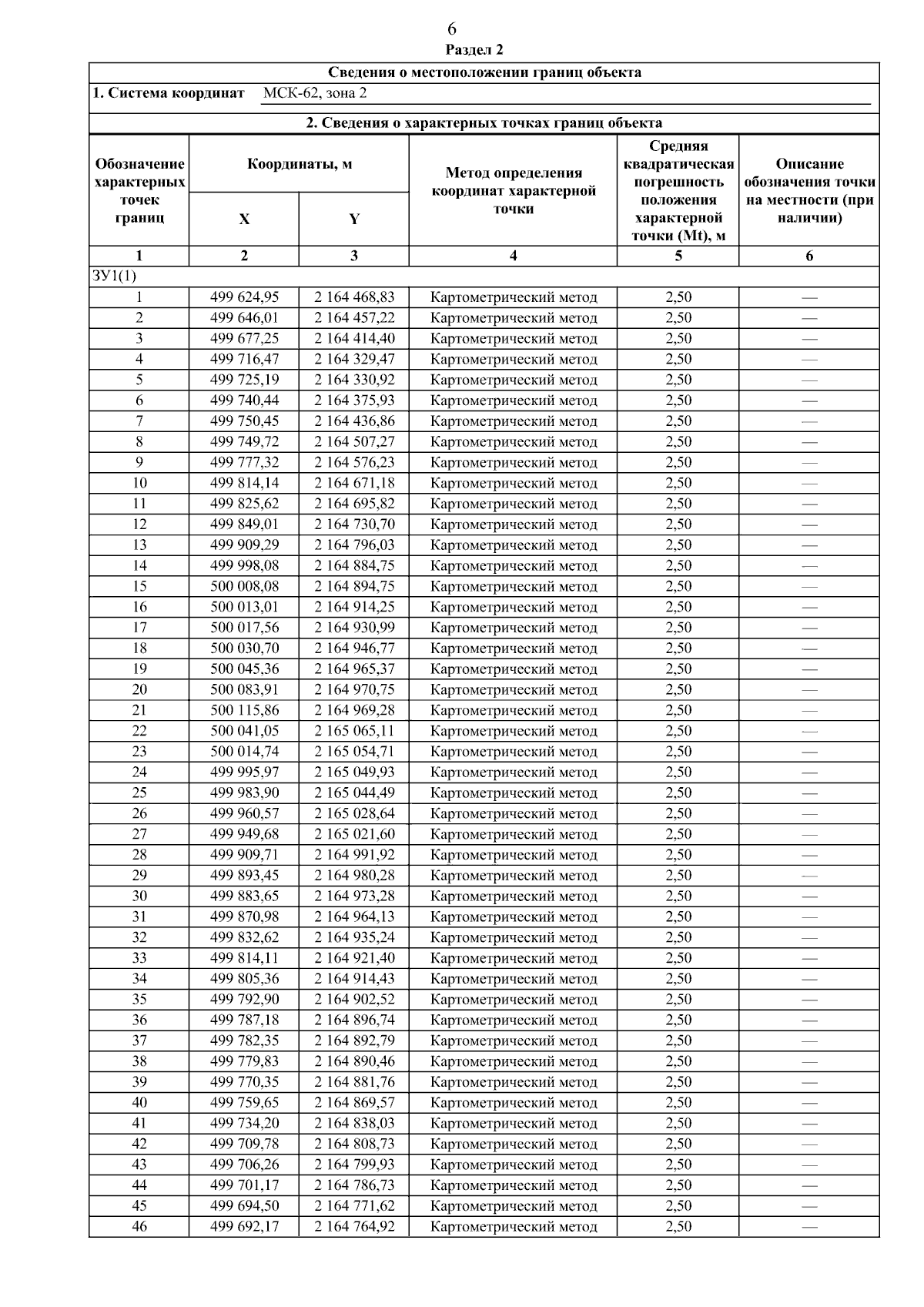
"О внесении изменений в правила землепользования и застройки части территории Спас-Клепиковского городского поселения Клепиковского муниципального района Рязанской области – д. Бозово, д. Кузино, д. Лосево, д. Лодкино, д. Ненашкино, д. Рябикино, д. Швивая Горка, д. Шабаево"
(Зарегистрирован 23.01.2026 № 43)
Номер опубликования: 6201202601260006
Дата опубликования: 26.01.2026
Страница №14 из 50:
Увеличить