Официальное опубликование правовых актов
ОФИЦИАЛЬНОЕ ОПУБЛИКОВАНИЕ
Постановление Главного управления архитектуры и градостроительства Рязанской области от 22.12.2025 № 1186-п
"О внесении изменений в правила землепользования и застройки муниципального образования - Турлатовское сельское поселение Рязанского муниципального района Рязанской области"
(Зарегистрирован 24.12.2025 № 1928)
Номер опубликования: 6201202512260002
Дата опубликования: 26.12.2025
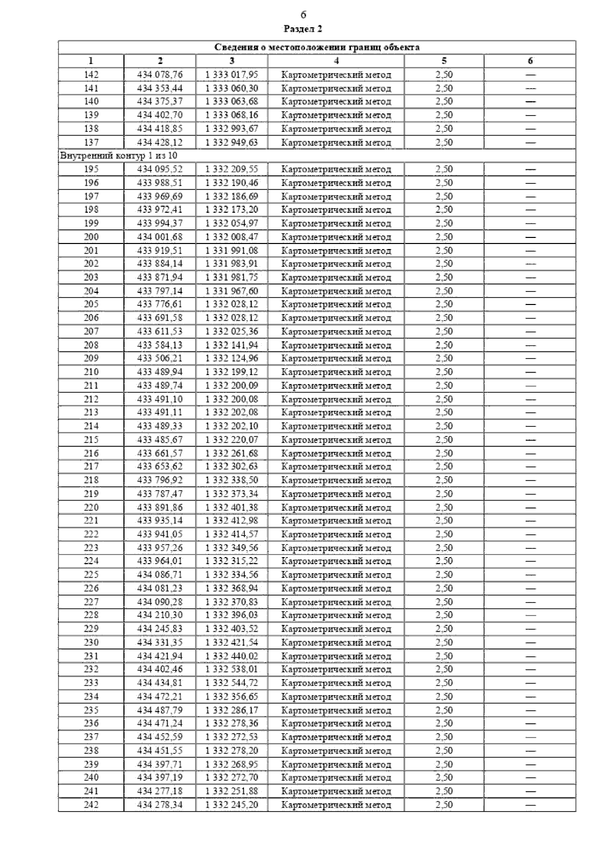
Страница №9 из 14:
Увеличить