Официальное опубликование правовых актов
ОФИЦИАЛЬНОЕ ОПУБЛИКОВАНИЕ
Постановление Главного управления архитектуры и градостроительства Рязанской области от 19.12.2025 № 1172-п
"О внесении изменения в генеральный план муниципального образования – Колесниковское сельское поселение Клепиковского муниципального района Рязанской области"
(Зарегистрирован 23.12.2025 № 1908)
Номер опубликования: 6201202512240043
Дата опубликования: 24.12.2025
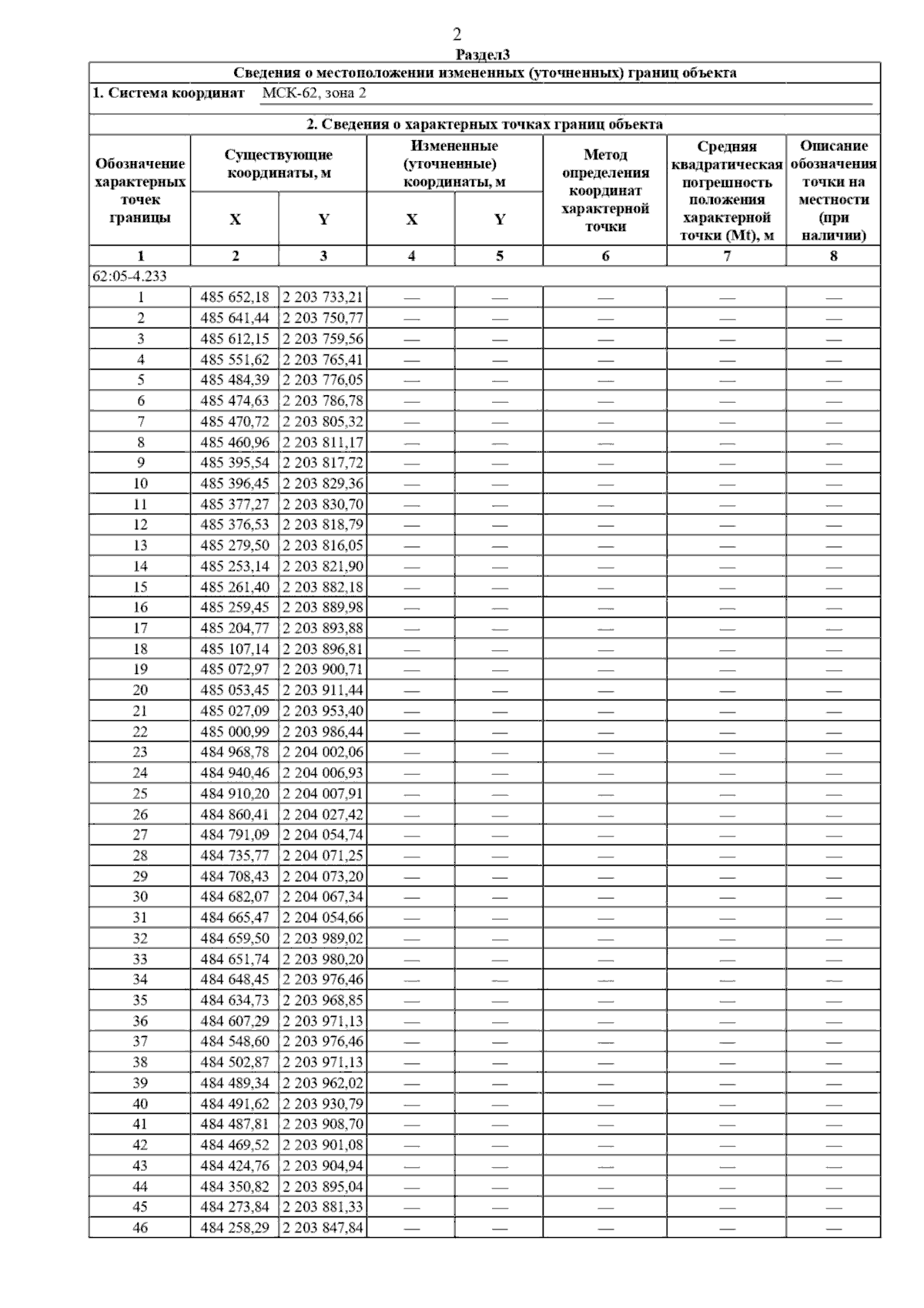
Страница №4 из 31:
Увеличить