Официальное опубликование правовых актов
ОФИЦИАЛЬНОЕ ОПУБЛИКОВАНИЕ
Постановление Главного управления архитектуры и градостроительства Рязанской области от 19.12.2025 № 1170-п
"О внесении изменений в правила землепользования и застройки муниципального образования – Сараевское городское поселение Сараевского муниципального района Рязанской области"
(Зарегистрирован 22.12.2025 № 1883)
Номер опубликования: 6201202512240032
Дата опубликования: 24.12.2025
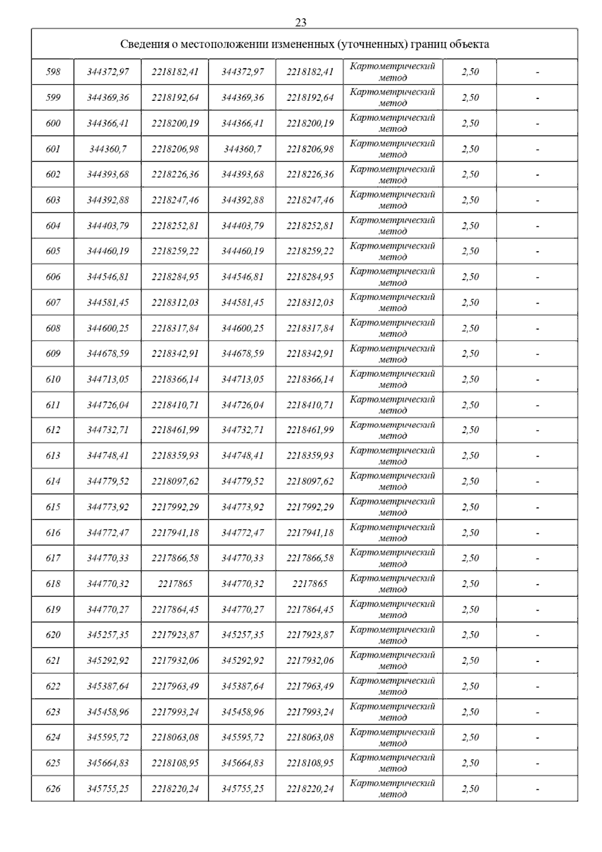
Страница №32 из 108:
Увеличить