Официальное опубликование правовых актов
ОФИЦИАЛЬНОЕ ОПУБЛИКОВАНИЕ
Постановление Главного управления "Региональная энергетическая комиссия" Рязанской области от 15.12.2025 № 232
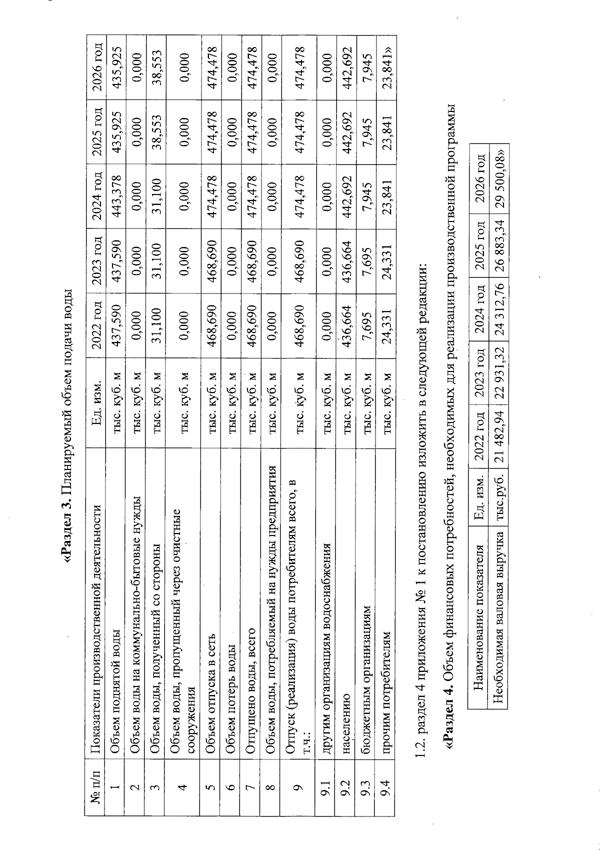
"О внесении изменений в постановление ГУ РЭК Рязанской области от 30 ноября 2021 г. № 171 "Об установлении тарифов на питьевую воду в сфере холодного водоснабжения, водоотведение для потребителей МКП "ЖКХ Сасовского района"
(Зарегистрирован 17.12.2025 № 1763)
Номер опубликования: 6201202512230031
Дата опубликования: 23.12.2025
Страница №2 из 5:
Увеличить